Scaling factor of a simple pendulum between length and time period.

Click For Summary

Homework Help Overview

The problem involves determining the original length of a simple pendulum given that its time period doubles when the length is increased by 3.0m. The context is rooted in the relationship between the pendulum's length and its time period.

Discussion Character

  • Exploratory, Conceptual clarification, Mathematical reasoning

Approaches and Questions Raised

  • Participants discuss the mathematical manipulation of the time period formula, questioning the validity of moving the factor of 2 inside the square root. There are different approaches suggested for solving the problem, including direct substitution and proportional reasoning.

Discussion Status

Some participants express satisfaction with their mathematical steps, while others seek clarification on the reasoning behind the manipulation of the formula. There is an acknowledgment of different methods to arrive at the same conclusion, indicating a productive exchange of ideas.

Contextual Notes

Participants mention trying similar calculations with different parameters, such as a scenario where the time period triples with a different length increase, indicating an exploration of the problem's constraints and variations.

mrcotton
Messages
120
Reaction score
0

Homework Statement



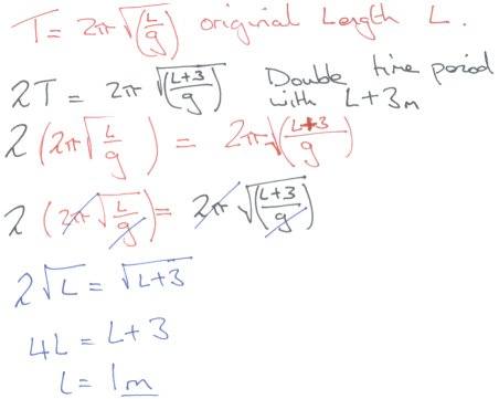
The time period of a simple pendulum is doubled when the length of the pendulum is increased by 3.0m. What is the original length of the pendulum?

Homework Equations



T= 2∏√(l/g)
also l is original length and l+3 is the new length

The Attempt at a Solution



So
2T=2(2∏√(l/g)
2T=2∏√(4l/g)
The new length is 4 times the original length and it also has to be the original length plus 3m.
∴ 4l=l+3
so l=1m

I am happy with the mathematical steps, and it gives me the correct answer.
It is the reason why I can do this I could do with some guidance on.
Is it because when I double T the only thing that could change is the length?
Therefore I can put the multiplying factor of 2 inside the sqrt as 4×l.
 
Physics news on Phys.org
hi mrcotton! :wink:
mrcotton said:
It is the reason why I can do this I could do with some guidance on.
Is it because when I double T the only thing that could change is the length?
Therefore I can put the multiplying factor of 2 inside the sqrt as 4×l.

yes, that's exactly right …

T = 2π√(l/g) means that T is proportional to √l, so twice T means 4 times l (if everything else is the same) :smile:

(and your proof is completely correct)
 
What you did is fine. But you were lucky to have been able to sneak the "2" inside the square root sign so easily to make 4.

I would have said

T = 2π√(l/g)
2T = 2π√[(l+3)/g]
so 2 = √[(l+3)/l]
& solve for l.
 
isn't that the same?
 
Thanks ever so much for the help with getting my old grey matter working.
So in general I can solve it like this.
Q85_zps9e5c662b.jpg

Did the sqrt of 4 only work for those values.
I tried doing the calculation both ways for a pendulum that's time period has tripled when the original length is extended by 6m and got the same results.
 
Yeah, maybe I was a bit severe here ... did you try for new l = 1.73l? This is a very trivial point, should probably not even have raised it.
 
Hi Rude man, please I like the trivial points. Its the pedantic points in physics that make it interesting to me. Each physics question seems to open up more questions.
 
mrcotton said:
Hi Rude man, please I like the trivial points. Its the pedantic points in physics that make it interesting to me. Each physics question seems to open up more questions.

OK I got plenty of those ... :smile:
 

Similar threads

  • · Replies 20 ·
Replies
20
Views
2K
  • · Replies 7 ·
Replies
7
Views
5K
  • · Replies 7 ·
Replies
7
Views
4K
  • · Replies 14 ·
Replies
14
Views
2K
  • · Replies 32 ·
2
Replies
32
Views
3K
Replies
3
Views
2K
  • · Replies 27 ·
Replies
27
Views
2K
  • · Replies 9 ·
Replies
9
Views
3K
  • · Replies 15 ·
Replies
15
Views
2K
Replies
1
Views
1K