Semiconductor problem - Rearranging terms.

Click For Summary
SUMMARY

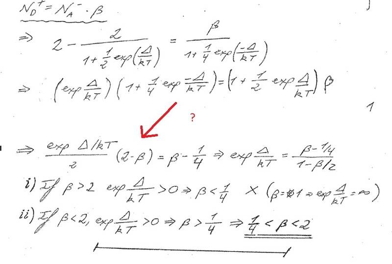
The discussion centers on determining the constant of proportionality, beta, for a semiconductor. Participants express confusion regarding the transition from line 2 to line 3 in the solution, specifically the disappearance of the squared exponential term. It is clarified that the expression simplifies to exp(k) times exp(-k), which equals one, resolving the confusion about the squared exponential. The conversation emphasizes the importance of understanding exponential properties in semiconductor equations.

PREREQUISITES
  • Understanding of semiconductor physics and equations
  • Familiarity with exponential functions and their properties
  • Knowledge of mathematical manipulation of equations
  • Basic grasp of constants in physical equations
NEXT STEPS
  • Study the properties of exponential functions in detail
  • Learn about the role of constants in semiconductor equations
  • Review mathematical techniques for simplifying complex equations
  • Explore common semiconductor equations and their applications
USEFUL FOR

Students studying semiconductor physics, educators teaching advanced mathematics, and professionals working in semiconductor research and development.

rwooduk
Messages
757
Reaction score
59

Homework Statement


Determine values for beta the constant of proportionality for a semiconductor.

Homework Equations


Given below.

The Attempt at a Solution



6zRv3V1.jpg


I
m struggling with line 2 to line 3 of the solution. The problem I'm having is I can't see where the squared exponential term has gone. I've tried multiplying out beta and collecting terms in terms of the exponential term, but I'm stuck with the squared expontntial term that would be there. Any ideas on what he has done would really help at this point.
 
Physics news on Phys.org
I don't see any squared exponential. I see exp(k) times exp(-k) which is one.
 
  • Like
Likes   Reactions: rwooduk
RUber said:
I don't see any squared exponential. I see exp(k) times exp(-k) which is one.
Good point. Dont know what I was thinking, thanks very much for your help!
 

Similar threads

  • · Replies 1 ·
Replies
1
Views
1K
  • · Replies 10 ·
Replies
10
Views
3K
  • · Replies 9 ·
Replies
9
Views
3K
  • · Replies 7 ·
Replies
7
Views
6K
  • · Replies 1 ·
Replies
1
Views
1K
  • · Replies 8 ·
Replies
8
Views
2K
Replies
5
Views
2K
  • · Replies 2 ·
Replies
2
Views
2K
  • · Replies 3 ·
Replies
3
Views
2K
  • · Replies 2 ·
Replies
2
Views
5K