Shear stress resisted by a bolt

Click For Summary
SUMMARY

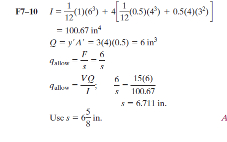
The discussion centers on the calculation of shear stress resisted by bolts in a structural problem. The author questions the use of the equation (30x10^3) / s = VQ / I, suggesting it should be multiplied by 4 due to the presence of four bolts. However, it is clarified that the correct approach involves determining the Q value for bolt shear using either the full area of the top right or top left board, or the middle and two bottom areas divided by two, although the latter is not recommended for practical calculations.

PREREQUISITES
  • Understanding of shear stress and its calculation in structural engineering.
  • Familiarity with the VQ/I formula for shear stress analysis.
  • Knowledge of bolt configurations and their impact on load distribution.
  • Basic principles of structural mechanics and material properties.
NEXT STEPS
  • Study the derivation and application of the VQ/I formula in shear stress calculations.
  • Explore methods for calculating Q values in different structural configurations.
  • Investigate the effects of bolt arrangements on shear resistance in structural elements.
  • Learn about common mistakes in shear stress calculations and how to avoid them.
USEFUL FOR

Structural engineers, mechanical engineers, students studying mechanics of materials, and professionals involved in bolt design and analysis will benefit from this discussion.

fonseh
Messages
521
Reaction score
2

Homework Statement


In this problem , why the author use (30x10^3) /s = VQ / I only ? Shouldnt it be 4(30x10^3) /s = VQ / I

Homework Equations

The Attempt at a Solution


I said so , because the board at the centered is connected by 4 bolts , 2 on the left and 2 on the right . The faces on the right also resisted by the same arrangement of nails , right ?
 

Attachments

  • 519.PNG
    519.PNG
    19.4 KB · Views: 550
  • 520.PNG
    520.PNG
    6.8 KB · Views: 499
Last edited by a moderator:
Physics news on Phys.org
fonseh said:

Homework Statement


In this problem , why the author use (30x10^3) /s = VQ / I only ? Shouldnt it be 4(30x10^3) /s = VQ / I

Homework Equations

The Attempt at a Solution


I said so , because the board at the centered is connected by 4 bolts , 2 on the left and 2 on the right . The faces on the right also resisted by the same arrangement of nails , right ?
Where did the 30x10^3 come from? Regardless, your method is wrong. In determining Q for bolt shear, either you use the top right board full area, or the top left board full area, or the middle and 2 bottom areas divided by 2 ( this last method not recommended, but may help conceptually with your understanding).
 

Similar threads

Replies
3
Views
2K
  • · Replies 2 ·
Replies
2
Views
2K
  • · Replies 1 ·
Replies
1
Views
2K
  • · Replies 2 ·
Replies
2
Views
7K
  • · Replies 8 ·
Replies
8
Views
4K
  • · Replies 3 ·
Replies
3
Views
2K
  • · Replies 1 ·
Replies
1
Views
2K
  • · Replies 11 ·
Replies
11
Views
2K
  • · Replies 3 ·
Replies
3
Views
2K
  • · Replies 6 ·
Replies
6
Views
2K