Shock waev? Isentropic reduction of velocity?

Click For Summary

Discussion Overview

The discussion revolves around the effects of shock waves and the isentropic reduction of velocity in compressible flow. Participants explore how to compute pressure changes when velocity is reduced isentropically, comparing it to conditions before and after a shock wave. The conversation includes theoretical considerations and practical calculations related to fluid dynamics.

Discussion Character

  • Technical explanation
  • Mathematical reasoning
  • Debate/contested

Main Points Raised

  • One participant computes upstream and downstream velocities of a shock wave and seeks to determine the pressure if the velocity had been reduced isentropically.
  • Another suggests using the continuity equation and isentropic relations to compute pressure, but expresses uncertainty about the correctness of this approach.
  • Some participants propose using Bernoulli's equation, while others argue it does not apply due to compressibility effects.
  • Several participants discuss the need to calculate the Mach number upstream and downstream, and how to find stagnation temperatures using provided resources.
  • There is a discussion about the normal shock relations and how they can be used to find downstream temperature and Mach number, with some participants expressing confusion about the dependencies involved.
  • One participant notes that the temperature appears multiple times in the equations, suggesting that numerical methods may be necessary to solve for it.
  • Another participant clarifies the distinction between stagnation temperature and dynamic temperature in the context of shock relations.
  • There is a debate about whether the downstream temperature computed using normal shock relations can be used in isentropic calculations, with concerns about the validity of applying isentropic relations post-shock.

Areas of Agreement / Disagreement

Participants express differing views on the applicability of Bernoulli's equation and the use of normal shock relations. There is no consensus on the correct approach to compute the downstream temperature and pressure in the context of isentropic flow following a shock wave.

Contextual Notes

Participants highlight limitations in their calculations, including dependencies on definitions and assumptions about temperature and Mach number. The discussion remains unresolved regarding the correct methodology for calculating pressures and temperatures in the given scenario.

hanson
Messages
312
Reaction score
0
Hi all.
We are to compare the effect of a shock wave, that is the irreversibilities associated.
We have comptued that the upstream and downstream velocities of a shock wave are 1029 m/s and 266.8 m/s respectively.
The upstream pressure and temperature is 105kPa and 290K.
What question proceed to ask that what would be the pressure if the velocity had been reduced isentropically from the initial velocity to that behind the shock.

How would you compute it?
I use the continuity equation to work out the ratio between upstream and downstream densities.
Then use the isentropic relation p/(roll^gamma)=constant to compute the pressure. But it turns out I am wrong.

Can anyone help? And also tell me why I am wrong? Thanks.
 
Engineering news on Phys.org
please kindly help
 
Just use Bernoulli
 
hanson said:
Hi all.
We are to compare the effect of a shock wave, that is the irreversibilities associated.
We have comptued that the upstream and downstream velocities of a shock wave are 1029 m/s and 266.8 m/s respectively.
The upstream pressure and temperature is 105kPa and 290K.
What question proceed to ask that what would be the pressure if the velocity had been reduced isentropically from the initial velocity to that behind the shock.

How would you compute it?
I use the continuity equation to work out the ratio between upstream and downstream densities.
Then use the isentropic relation p/(roll^gamma)=constant to compute the pressure. But it turns out I am wrong.

Can anyone help? And also tell me why I am wrong? Thanks.

Not sure if I understand your question, but it sounds like you need use the Rankine-Hugoniot Relation.

http://en.wikipedia.org/wiki/Rankine-Hugoniot_equation

http://th.nao.ac.jp/~tomisaka/Lecture_Notes/StarFormation/3/node109.html

Hope that helps.

CS
 
jaap de vries said:
Just use Bernoulli

Sorry flow is compressible so Bernoulli does not apply I believe.
 
You know the velocities up and downstream, and you know the upstream temperature, therefore you can find the Mach number upstream. Then you need to use the http://www.grc.nasa.gov/WWW/K-12/airplane/isentrop.html" to find the stagnation temperature upstream.

You can then use the http://www.grc.nasa.gov/WWW/K-12/airplane/normal.html" to find the temperature downstream.

Then by using the definition of the Mach number you can find the Mach number you can find the Mach number downstream of the shock.

[tex]Ma=\frac{v}{c}=\frac{v}{\sqrt{{\gamma}RT}}[/tex]

For the isentropic case you can assume that there is no change in the stagnation pressure, so you can use your upstream conditions to find the stagnation pressure, using the same isentropic relations given above. Then by using the downstream Mach number and the stagnation pressure you can use the isentropic relations to find your dynamic pressure.
 
Last edited by a moderator:
h2oski1326 said:
You know the velocities up and downstream, and you know the upstream temperature, therefore you can find the Mach number upstream. Then you need to use the http://www.grc.nasa.gov/WWW/K-12/airplane/isentrop.html" to find the stagnation temperature upstream.

You can then use the http://www.grc.nasa.gov/WWW/K-12/airplane/normal.html" to find the temperature downstream.

Then by using the definition of the Mach number you can find the Mach number you can find the Mach number downstream of the shock.

[tex]Ma=\frac{v}{c}=\frac{v}{\sqrt{{\gamma}RT}}[/tex]

For the isentropic case you can assume that there is no change in the stagnation pressure, so you can use your upstream conditions to find the stagnation pressure, using the same isentropic relations given above. Then by using the downstream Mach number and the stagnation pressure you can use the isentropic relations to find your dynamic pressure.

Hello! Coincidentally, I have used this method this morning before reading your reply.
When i calculate the temperature downstream, I will need to know the Mach number downstream, which is not known as a prior, right? (Though I know the downstream velocity, the downstream speed of sound, which depends on the downstream Temperature is not yet known). That mean the temperature appear twice in the equation (I express the Mach number as velocity/sqrt(gamma*R*T)and it seems to be that the temperature can be solve only numerically...

Am i going right?
 
Last edited by a moderator:
hanson said:
Hello! Coincidentally, I have used this method this morning before reading your reply.
When i calculate the temperature downstream, I will need to know the Mach number downstream, which is not known as a prior, right? (Though I know the downstream velocity, the downstream speed of sound, which depends on the downstream Temperature is not yet known). That mean the temperature appear twice in the equation (I express the Mach number as velocity/sqrt(gamma*R*T)and it seems to be that the temperature can be solve only numerically...

Am i going right?

This is where you need the normal shock relations. The normal shock relations will give you the ratio of T_2/T_1. So you can find T_2, then find Mach number downstream.
 
h2oski1326 said:
This is where you need the normal shock relations. The normal shock relations will give you the ratio of T_2/T_1. So you can find T_2, then find Mach number downstream.

You are referring T_1 and T_2 as the stagnation temperature and the temperature downstream, right? When using the normal shock relation to find T_2,

T_1/T_2=1+(gamma-1)/2*M^2, but M depends on T_2, which is not known. So, I need to solve for T_2, is it? I just realize that this is a quadratic equation only, which does that need numerical method to solve it. Am I thinking the same as you?
 
Last edited:
  • #10
hanson said:
You are referring T_1 and T_2 as the stagnation temperature and the temperature downstream, right?

No.

I was referring to T_1 as the upstream temperature and T_2 as the downstream temperature.


hanson said:
T_1/T_2=1+(gamma-1)/2*M^2, but M depends on T_2, which is not known.

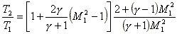
I think you are slightly confused here. What I am telling you is that you can find T_2 by using the normal shock relations. The equation you have written above relates the dynamic temperature, stagnation temperature, and Mach number for an isentropic flow. So it is valid on either side of the shock wave but not across it.

The relation which is attached shows the dynamic temperature ratio across a normal shock wave as a function of the incoming Mach number and gamma. Using this, you are able to use T_1, Ma_1, and gamma to find T_2. This will give you all the information you need to solve your problem.
 

Attachments

  • eqn_12-34d.gif
    eqn_12-34d.gif
    874 bytes · Views: 511
  • #11
h2oski1326 said:
No.

I was referring to T_1 as the upstream temperature and T_2 as the downstream temperature.




I think you are slightly confused here. What I am telling you is that you can find T_2 by using the normal shock relations. The equation you have written above relates the dynamic temperature, stagnation temperature, and Mach number for an isentropic flow. So it is valid on either side of the shock wave but not across it.

The relation which is attached shows the dynamic temperature ratio across a normal shock wave as a function of the incoming Mach number and gamma. Using this, you are able to use T_1, Ma_1, and gamma to find T_2. This will give you all the information you need to solve your problem.

In oder to calculate the dynamic pressure in the isentropic case, we need to know the downstream temperature after going through the isentropic process to determine the downstream Mach no, then apply the isentropic flow relation I wote, right?

But the downstrean temperature, T_2, computed using the normal shock relation (went through a not-isentropic process) cannot be utilized as the downstream temperature that go through an isentropic process, isn't it? I suspect there will be some difference?
 
Last edited:
  • #12
Ok since I kinda send you the wrong place at first I will help better this time.

Shock or no shock the total temperature remains constant just from first thermo law principles so

T0 = T (1 + (y-1)/2 M^2), therefore To = T (1 + (y-1)/2 * V^2/(RyT))

thus the Mach number initially is M = 3.0149

T0 = 290 * (1 + (1.4-1)/2 * 1290^2/(286.9 * 1.4 * 290) = 817.23 K

the next problem is to find the Mach number after slowing down the air isentropically

817.23 = t * (1 + (y-1)/2 * V^2/(R * y * T)

Solve for T gives: T = 781.79

he Mach number after slow down can now easily be found to be V/(286.9 * 1.4 * 781.79)

M2 = 0.476

Now the nice thing about isentropic flow is that the total pressure remains constant too.

thus Po = P1 * (1 + (y-1)/2 * M1^2)^y/(y-1)

therefore Po = 3944.63 kPa

3944.63 = P2 * (1 + (y-1)/2 * M2^2)^y/(y-1)

Solve for P2, P2 = 3377.6 kPaDoes this result make sense?

Note that implicit problems are just simply solved using the "solve" function on my Voyage 200/Ti89 If you don't have a calculator that can do this you might want to buy one that can.
 
  • #13
jaap de vries said:
Ok since I kinda send you the wrong place at first I will help better this time.

Shock or no shock the total temperature remains constant just from first thermo law principles so
...

Do you mean if I got some stagnation temperature To and we have a flow, which has a downstream velocity of V.

The downstream temperature will be the same, no matter whether there is a shock wave between the upstream and downstream position? That's sounds quite counter-intuitive to me...
 
  • #14
Ah...I just realize that the temperature relation is just another statement of the first law...which as you said, applies to isentropic or not-isentropic cases...

So, I think in both cases, the downstream tempearture wil be the same.

If the temperature in both cases are the same, the problem can be explicit.

Having an upstream Mach no, we can compute the Mach number after a shock, M2=V2/(gamma*R*T). (There is a relation between the Mach no before and after the shock, isn't it?)

Now that this T is same as the case in isentropic flow, the Mach number downstream will be the same, right? So, the implicit equation for determining downstream pressure can be avoided, isn't it?
 
  • #15
No not the T but T0 which is the total temperature the static temperature is significantly different.

So To is just a bookkeeping method for your energy in a flow and does not change unless work is done by/on the fluid (for instance in a turbine/compressor). Or when heat is added/subtracted to/from the flow.

So even through a shock the To remains the same. T changes significantly

Now when the flow is also isentropic, i.e. No shock! the Po remains the same too. based on those principles I solved your problem above and this should be correct.

The Mach number downstream is simply calculated with the velocity you gave me 266.9 and the total temperature. Like I showed you. Again don't use the normal shock relations in the isentropic case since there is none!
 
  • #16
jaap de vries said:
The Mach number downstream is simply calculated with the velocity you gave me 266.9 and the total temperature. Like I showed you. Again don't use the normal shock relations in the isentropic case since there is none!

the next problem is to find the Mach number after slowing down the air isentropically

817.23 = t * (1 + (y-1)/2 * V^2/(R * y * T)

Solve for T gives: T = 781.79

T should be "t" here, right? The downstream temperature.

By the way, why the total pressure will be the same when the process is isentropic...?
 
  • #17
I gave you the Mach number it is M2 = 0.476.

Usually with these problems you want to find the Mach numbers first since most realtions are given as a function of Mach number and gamma
 
  • #18
jaap de vries said:
I gave you the Mach number it is M2 = 0.476.

Usually with these problems you want to find the Mach numbers first since most realtions are given as a function of Mach number and gamma

In your calculation
"817.23 = t * (1 + (y-1)/2 * V^2/(R * y * T)

Solve for T gives: T = 781.79"

should it be
"817.23 = t * (1 + (y-1)/2 * V^2/(R * y * t)

Solve for t gives: t = 781.79" ?

since we do not know the downstream temperature t yet.
 
  • #19
Yes t and T are the same here it is just a typo!
 

Similar threads

  • · Replies 7 ·
Replies
7
Views
3K
  • · Replies 45 ·
2
Replies
45
Views
7K
  • · Replies 3 ·
Replies
3
Views
4K
  • · Replies 3 ·
Replies
3
Views
3K
  • · Replies 2 ·
Replies
2
Views
3K
  • · Replies 1 ·
Replies
1
Views
2K
  • · Replies 1 ·
Replies
1
Views
3K
  • · Replies 2 ·
Replies
2
Views
2K
  • · Replies 2 ·
Replies
2
Views
2K
  • · Replies 8 ·
Replies
8
Views
6K