Show that t = 1/2 solves the equation

  • Thread starter Thread starter hau.sim
  • Start date Start date
Click For Summary

Homework Help Overview

The problem involves showing that \( \hat{t} = \frac{1}{2} \) solves a given equation related to statistical distributions. The equation includes terms involving square roots and parameters from normal distributions.

Discussion Character

  • Exploratory, Assumption checking, Mathematical reasoning

Approaches and Questions Raised

  • The original poster attempts to isolate \( \hat{t} \) instead of simply substituting the value. There are discussions about squaring both sides of the equation to eliminate square roots and checking for sign errors in the manipulation of terms.

Discussion Status

Participants are actively engaging with the original poster's attempts, providing suggestions for isolating terms and correcting errors in the algebraic manipulation. There is no explicit consensus on the solution, and the original poster expresses uncertainty about their progress.

Contextual Notes

The original poster mentions a deadline for the homework, indicating a time constraint that may affect the depth of exploration in the discussion.

hau.sim
Messages
5
Reaction score
0

Homework Statement



Show that t-hat = 1/2 solves the equation below.

Now, I know I can just plug in 1/2, where t-hat is, and see that both sides are equal to zero, but is it possible to isolate t-hat. Say, if wanted to find t, and did not know the value already..?

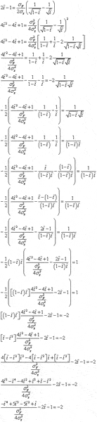
[tex] \[2\hat t - 1 = \frac{{\sigma _F^{}}}{{2\sigma _z^{}}}\left( {\frac{1}{{\sqrt {1 - \hat t} }} - \frac{1}{{\sqrt {\hat t} }}} \right)\][/tex]

Homework Equations



[tex] \[\hat t \in [0,1]\][/tex]

[tex] \[\begin{array}{l}<br /> z \sim N\left( {0,\sigma _z^2} \right)\\<br /> F \sim N\left( {\bar F,\sigma _F^2} \right)<br /> \end{array}\][/tex]

The Attempt at a Solution



[tex] \[\begin{array}{l}<br /> 2\hat t - 1 = \frac{{\sigma _F^{}}}{{2\sigma _z^{}}}\left( {\frac{1}{{\sqrt {1 - \hat t} }} - \frac{1}{{\sqrt {\hat t} }}} \right)\\<br /> 4{{\hat t}^2} - 4\hat t + 1 = \frac{{\sigma _F^2}}{{4\sigma _z^2}}{\left( {\frac{1}{{\sqrt {1 - \hat t} }} - \frac{1}{{\sqrt {\hat t} }}} \right)^2}\\<br /> 4{{\hat t}^2} - 4\hat t + 1 = \frac{{\sigma _F^2}}{{4\sigma _z^2}}\left[ {\frac{1}{{1 - \hat t}} + \frac{1}{{\hat t}} - 2\frac{1}{{\sqrt {1 - \hat t} \sqrt {\hat t} }}} \right]<br /> \end{array}\][/tex]

Thx, any help is appreciated, P DK
 
Physics news on Phys.org
From your last line, isolate the square root term and square both side...get rid of those square root signs.
 
Hi Berko

Thanks for your reply

I have tried the following, but I have no clue whether it is getting me in the right direction.

27xfnna.gif
..
 
Last edited:
Your seventh line of work...you squared the right side but not the left.
 
Your ninth line of work...one of your minus signs should be a plus sign.

Fix those and redo. I'll look at what you come up with.
 
Hi Berko

Thanks for your help. I never solved it, and the deadline was today... I think I got pretty close to a solution, but I don't know for sure...
 

Similar threads

Replies
20
Views
2K
  • · Replies 16 ·
Replies
16
Views
3K
  • · Replies 11 ·
Replies
11
Views
2K
  • · Replies 105 ·
4
Replies
105
Views
11K
  • · Replies 11 ·
Replies
11
Views
3K
  • · Replies 1 ·
Replies
1
Views
2K
Replies
3
Views
2K
  • · Replies 1 ·
Replies
1
Views
1K
Replies
3
Views
2K
Replies
2
Views
2K