Slope of a curve and at a point

Click For Summary

Homework Help Overview

The discussion revolves around finding the slope of a curve at a specific point, involving the differential equation related to the function f(x). Participants are exploring the relationship between the derivative and the function itself, as well as the integration methods applicable to solve the problem.

Discussion Character

  • Exploratory, Mathematical reasoning, Assumption checking

Approaches and Questions Raised

  • Participants discuss the integration of the derivative and the setup of the differential equation. There are attempts to separate variables and integrate, with some questioning the validity of their approaches and the steps needed to arrive at the solution.

Discussion Status

Guidance has been offered regarding the separation of variables and integration techniques. Some participants express uncertainty about their calculations and seek clarification on the integration process. Multiple interpretations of the problem are being explored, with no explicit consensus reached.

Contextual Notes

There are mentions of specific conditions, such as using the point (1,1) to solve for constants, and participants are grappling with the implications of their algebraic manipulations during integration.

yecko
Gold Member
Messages
275
Reaction score
15

Homework Statement


http://i.imgur.com/In40pGm.png
In40pGm.png

Answer: C

Homework Equations


f'(x)=slope=(y1-y2)/(x1-x2)

The Attempt at a Solution


I can't even list a valid formula for that...
like I tried to integrate f'(x), but f(x) is with y so I don't think I am thinking in the right direction.
What are the steps in order to get the correct answer?
Thank you very much.
 
Physics news on Phys.org
It is a plane curve? If it is ## y=f(x)## so you can write ##\frac{f'(x)}{f(x)^2}=\frac{1}{x^3}## and integrating both members you will find the equation of ##f(x)## ...
Ssnow
 
yecko said:

Homework Statement


http://i.imgur.com/In40pGm.png
View attachment 200123
Answer: C

Homework Equations


f'(x)=slope=(y1-y2)/(x1-x2)

The Attempt at a Solution


I can't even list a valid formula for that...
like I tried to integrate f'(x), but f(x) is with y so I don't think I am thinking in the right direction.
What are the steps in order to get the correct answer?
Thank you very much.
Solve the differential equation
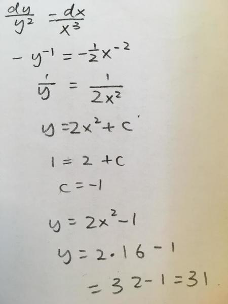
$$\frac{dy}{dx} = \frac{y^2}{x^3}$$
The general solution ##y(x)## will contain an unknown constant ##c##, whose value can be obtained by using the given condition ##y(1) = 1##.
 
I know that (1,1) is for solving the constant. however, i can't find the equation.
f'(x)=y^2/x^3
y=f(x)=y^2/x^2*(-1)+c
This equation seems unreasonable...
can you help me in this?
thanks
 
You must integrate the differential equation with the separable variables method ..
 
Like what integration method? I can't think of any seems applicable..
Any suggestion? Thanks
 
You have to rewrite the differential equation so all the x's are on one side and all the y's are on the other. Then you can integrate each side.
 
Solve the two integrals ##\int \frac{dy}{y^2} =\int \frac{dx}{x^{3}}+c##, you will obtain something as ##y(x)= ...(x)+c##...
Ssnow
 
Ssnow said:
∫dyy2=∫dxx3+c
how does this come?
vela said:
You have to rewrite the differential equation so all the x's are on one side and all the y's are on the other. Then you can integrate each side.
y'=f'(x)=y^2/x^3
y=f(x)=y^2/x^2*(-2)+c
1/y=1/x^2*(-2)+c
you mean like this? or have I calculated anything wrong?
 
  • #10
From ##\frac{dy}{dx}=\frac{y^2}{x^3}## you treat formally ##dx## and ##dy## as certain ''quantities''. Algebraically you can separate ##x## from ##y## obtaining

##\frac{dy}{y^2}=\frac{dx}{x^3}##
after you can integrate both members ...
see https://en.wikipedia.org/wiki/Separation_of_variables
Ssnow
 
  • #11
  • #12
You can't go from 1/y = 1/2x2 to y = 2x2 + C. It must be 1/y = 1/2x2 + C. You add the integration constant in the integration step, not after any subsequent manipulations. Then y = 2x2/(1+2Cx2).
 
  • Like
Likes   Reactions: Ssnow
  • #13
thank you for all of your help
i can finally solved it
 
  • #14
Yes, as @mjc123 said you must put the constant ##C## after the second integration and consider it in all algebraic passages...

Ssnow
 
  • #15
Is it a problem of RSM?
 

Similar threads

Replies
2
Views
2K
Replies
4
Views
2K
Replies
3
Views
2K
  • · Replies 11 ·
Replies
11
Views
2K
Replies
15
Views
2K
Replies
4
Views
1K
Replies
30
Views
3K
  • · Replies 12 ·
Replies
12
Views
4K
  • · Replies 2 ·
Replies
2
Views
4K
Replies
5
Views
1K