Smallest Possible Value for Inequality: Am I on the Right Track?

  • Thread starter Thread starter Fellowroot
  • Start date Start date
  • Tags Tags
    Value
Click For Summary

Homework Help Overview

The discussion revolves around an inequality problem involving distinct integer variables n, m, and k, where participants are exploring methods to find the smallest possible value that satisfies the given conditions.

Discussion Character

  • Exploratory, Assumption checking, Conceptual clarification

Approaches and Questions Raised

  • Participants discuss various attempts to solve the inequality, with some suggesting a more hands-on approach by testing different values. Others raise questions about the appropriateness of using calculus with discrete variables and the implications of maximizing a related expression.

Discussion Status

The conversation is ongoing, with some participants providing hints and clarifications about the nature of the problem. There is recognition of the need to find distinct integer values that meet the inequality criteria, and some participants are beginning to understand the relationship between maximizing and minimizing the expressions involved.

Contextual Notes

There is a noted confusion regarding the use of derivatives in the context of discrete variables, as well as a misunderstanding about the goal of maximizing versus minimizing the expression related to n, m, and k.

Fellowroot
Messages
92
Reaction score
0

Homework Statement



problemsoftheweek1112_zpsd91e9ac0.png

Homework Equations



n/a

The Attempt at a Solution



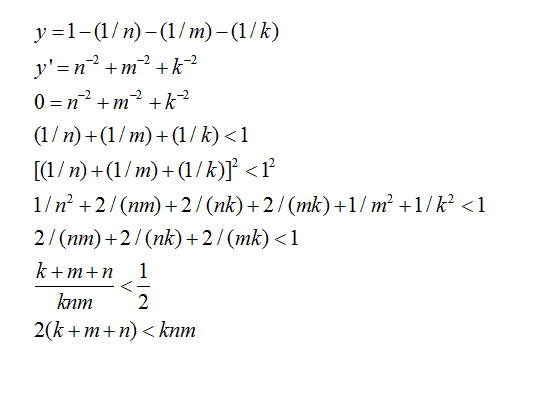
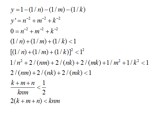
Here is one attempt

problemsoftheweek111_zps83c1ef7d.png


But I'm stuck on this inequality. I can't go further.

and here is another, but I don't know if I proved anything here.

problemsoftheweek_zpsc4547f53.png


Really looking if anyone could help me on this or if I'm on the right track. Thanks.
 
Physics news on Phys.org
There are two components to the problem; (1) find a candidate for the solution and (2) prove that candidate is the right one.

For (1) I recommend throwing away all this fancy schmancy algebra and calculus and just roll up your sleeves and try a few things. Also, recognizing that your problem is equivalent to maximizing ##\frac{1}{n}+\frac{1}{m}+\frac{1}{k}## subject to ##n,m,k## distinct and ##\frac{1}{n}+\frac{1}{m}+\frac{1}{k}<1## might make some of this work a little more manageable.

Once you've found a triplet that works, try to prove that it's the best triplet. Don't get fancy, just think about it. If need be, find other triplets that work (in the sense that ##n,m,k## are distinct and ##\frac{1}{n}+\frac{1}{m}+\frac{1}{k}<1##) and try to see why your triplet is better.
 
Fellowroot said:

Homework Statement



problemsoftheweek1112_zpsd91e9ac0.png



Homework Equations



n/a



The Attempt at a Solution



Here is one attempt

problemsoftheweek111_zps83c1ef7d.png


But I'm stuck on this inequality. I can't go further.

and here is another, but I don't know if I proved anything here.

problemsoftheweek_zpsc4547f53.png


Really looking if anyone could help me on this or if I'm on the right track. Thanks.

No, you are on the wrong track: you cannot take derivatives with respect to discrete (integer-valued) variables like n, m and k. Derivatives need continuous variables, and you don't have those in this problem.
 
And even if m, n, and k were continuous variables, you certainly cannot take the derivative with respect to three different variables as you did here.
 
Thanks for pointing that out because I just remembered that it would be an implicit differentiation if I did take the derivative and I did not do that.

recognizing that your problem is equivalent to maximizing 1/n+1/m+1/k

Thanks for the hint, but I don't quite understand it. I thought I was trying to minimize it not maximize it.
 
In this case if you maximize 1/n+1/m+1/k (while still being smaller than 1) you minimize your goal function, right?
 
Thank you dirkmec1 I now understand!
 

Similar threads

  • · Replies 13 ·
Replies
13
Views
2K
Replies
1
Views
2K
  • · Replies 5 ·
Replies
5
Views
3K
  • · Replies 7 ·
Replies
7
Views
7K
  • · Replies 5 ·
Replies
5
Views
2K
  • · Replies 9 ·
Replies
9
Views
3K
  • · Replies 5 ·
Replies
5
Views
2K
  • · Replies 1 ·
Replies
1
Views
2K
  • · Replies 5 ·
Replies
5
Views
4K
  • · Replies 2 ·
Replies
2
Views
2K