Solution to a complex cubic equations

  • Thread starter Thread starter PcumP_Ravenclaw
  • Start date Start date
  • Tags Tags
    Complex Cubic
Click For Summary

Homework Help Overview

The discussion revolves around solving the cubic equation ## z^3 + 6z = 20 ##, which is noted to have been considered by Cardan in his work. Participants are exploring the nature of the solutions to this equation, particularly the claim that there should be three distinct solutions.

Discussion Character

  • Exploratory, Assumption checking, Problem interpretation

Approaches and Questions Raised

  • Participants are examining the original poster's claim of obtaining four distinct solutions, while the reference material suggests only three should exist. There is a focus on the method used to solve the equation, with some participants questioning the validity of the original poster's approach and the assumptions made regarding the transformations applied.

Discussion Status

There is an ongoing examination of the original poster's work, with some participants providing feedback on the clarity of the presented attempts. Guidance has been offered regarding the interpretation of roots and the nature of cubic equations, suggesting that the original poster may have misunderstood the relationship between the roots found and the original equation.

Contextual Notes

Participants note that the original poster's work was difficult to read, which may have contributed to misunderstandings. The discussion also highlights the importance of correctly interpreting the roots of the polynomial and their implications for the solutions of the original equation.

PcumP_Ravenclaw
Messages
105
Reaction score
4

Homework Statement


Solve the equation ## z^3 + 6z = 20 ## (this was considered by Cardan in Ars
magna).

Homework Equations



Please see the 2nd attachement.

The Attempt at a Solution



I want to know if my solution is correct because the book (2nd attachment) says that there should only be 3 distinct solutions. I get 4 distinct solutions. My method is also slightly different from the book because I don't understand v and v1 etc...

Please explain to me how to solve cubic equations by the method explained in this attachment only. I don't want to solve this by euler's or any other method.

For my attempt please see the 1st attachment

Danke...
 

Attachments

  • ars_magna.jpg
    ars_magna.jpg
    14.2 KB · Views: 506
  • 58979-f8da60824d2a9e7294210a5a6955bf60.jpg
    58979-f8da60824d2a9e7294210a5a6955bf60.jpg
    54.2 KB · Views: 511
Physics news on Phys.org
PcumP_Ravenclaw said:

Homework Statement


Solve the equation ## z^3 + 6z = 20 ## (this was considered by Cardan in Ars
magna).

Homework Equations



Please see the 2nd attachement.

The Attempt at a Solution



I want to know if my solution is correct because the book (2nd attachment) says that there should only be 3 distinct solutions. I get 4 distinct solutions. My method is also slightly different from the book because I don't understand v and v1 etc...

Please explain to me how to solve cubic equations by the method explained in this attachment only. I don't want to solve this by euler's or any other method.

For my attempt please see the 1st attachment

Danke...
A cubic can have at most three distinct solutions. I looked at your work, but it is so small, and the written part is so faint that I couldn't read it. It would be better to post the actual work as text here rather than as an image, especially one that is illegible.
 
I have rewritten the first attachement in latex format below.

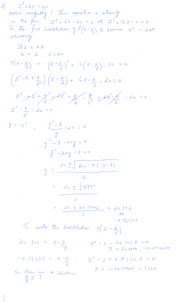
## z^3 + 6Z = 20 ##

Notice carefully! this equation is already in the form ## z^3 + 3bZ - C = 0 ## so the first substitution of ## P(z - a/3) ## as given in the text in the 2nd attachemtn is not necssary.

3bZ = 6Z
b = 2

## (Z - 2/Z)^3 + 6(Z - 2/Z) - 20 = 0 ##

## (Z^2 - 4 + 4/Z^2)(Z - 2/Z) + 6Z - 12/Z - 20 = 0 ##

after cancelling some terms

## Z^3 - 8/Z^3 - 20 = 0 ##

substituting
## y = Z^3 ##

## y^2 - 8 - 20y = 0 ##
solving the quadratic equation gives 20.392 or -0.392305
## y = 20.392 or -0.392305 ##

To find the original Z in the equation ## z^3 + 6Z = 20 ##
we must undo the substitution ## p(z - b/z) ##

so ## 20.392 = Z - 2/Z ##
solving this quadratic gives Z = 20.4896 or -0.09761044

so ## -0.392305 = Z - 2/Z ##
solving this quadratic gives Z = -1.62390451 or 1.2316

so there are 4 solutions for Z?
 

Attachments

  • Untitled.png
    Untitled.png
    10.7 KB · Views: 545
PcumP_Ravenclaw said:
I have rewritten the first attachement in latex format below.

## z^3 + 6Z = 20 ##

Notice carefully! this equation is already in the form ## z^3 + 3bZ - C = 0 ## so the first substitution of ## P(z - a/3) ## as given in the text in the 2nd attachemtn is not necssary.

3bZ = 6Z
b = 2

## (Z - 2/Z)^3 + 6(Z - 2/Z) - 20 = 0 ##

## (Z^2 - 4 + 4/Z^2)(Z - 2/Z) + 6Z - 12/Z - 20 = 0 ##

after cancelling some terms

## Z^3 - 8/Z^3 - 20 = 0 ##

substituting
## y = Z^3 ##

## y^2 - 8 - 20y = 0 ##
solving the quadratic equation gives 20.392 or -0.392305
## y = 20.392 or -0.392305 ##

To find the original Z in the equation ## z^3 + 6Z = 20 ##
we must undo the substitution ## p(z - b/z) ##

so ## 20.392 = Z - 2/Z ##
solving this quadratic gives Z = 20.4896 or -0.09761044

so ## -0.392305 = Z - 2/Z ##
solving this quadratic gives Z = -1.62390451 or 1.2316

so there are 4 solutions for Z?

Theorem (The Fundamental Theorem of Algebra): a non-constant polynomial of degree ##n## has at most ##n## (complex) roots; if we count "multiplicity", it has exactly ##n## roots.

See, eg., http://en.wikipedia.org/wiki/Fundamental_theorem_of_algebra

The hardest part of the theorem is the proof that a polynomial has at least one root. After that, the rest is easy, if we use a Factorization Lemma:
If ##r## is a root of a polynomial ##p(x)## of degree ##n > 1##, then ##p(x)## is of the form ##p(x) = (x-r) q(x)##, where ##q(x)## is a polynomial of degree ##n-1##.

So, NO: your polynomial does not have 4 distinct roots.
 
So can you point me where I am wrong and give me the solution!
 
PcumP_Ravenclaw said:
So can you point me where I am wrong and give me the solution!

Why haven't you taken your 3 or 4 solutions for Z and plugged them back into the original equation, to see if these are actually solutions?
 
PcumP_Ravenclaw said:
So can you point me where I am wrong and give me the solution!

I will point out your error but will not give you the complete solution.

You want to solve an equation ##p(x) = 0##. You set ##x = Z - 2/Z##, so your equation becomes ##p(Z - 2/Z) = 0##. You find that the function ##Q(Z) = p(Z - 2/Z)## is quadratic in ##Z^3##, so you can find its two roots, say ##r_1= 10 + 3 \sqrt{3} \doteq 20.39230485## and ##r_2= 10 - 6 \sqrt{3} \doteq -0.39230485##.

After this point you make serious errors: you say that you must solve ##Z - 2/Z = r_1## and ##Z - 2/Z = r_2##, but this is not true. Your roots ##r_1, r_2## are values of ##Z^3##, so you need to solve ##Z^3 = r_1## and ##Z^3 = r_2##. That will give you 6 values of ##Z##; two of these are real and the other 4 are complex numbers.

Now find ##x## from ##x = Z - 2/Z##. If you proceed carefully you will find that the seemingly 6 separate values of ##x## (corresponding to the 6 values of ##Z##) actually collapse into 3 distinct values, each of which is duplicated twice. One of the ##x##-values is real and the other two are complex.

Basically, the same type of thing happens for any cubic equation, not just for your special one.
 
  • Like
Likes   Reactions: PcumP_Ravenclaw
Ray Vickson said:
I will point out your error but will not give you the complete solution.
Hey Ray Vickson, Thanks a lot man!
 

Similar threads

  • · Replies 4 ·
Replies
4
Views
4K
  • · Replies 12 ·
Replies
12
Views
2K
  • · Replies 4 ·
Replies
4
Views
2K
  • · Replies 20 ·
Replies
20
Views
3K
  • · Replies 21 ·
Replies
21
Views
2K
  • · Replies 13 ·
Replies
13
Views
3K
  • · Replies 10 ·
Replies
10
Views
3K
  • · Replies 4 ·
Replies
4
Views
2K
Replies
39
Views
6K
  • · Replies 7 ·
Replies
7
Views
10K