Solve for the length of a rope when you know the work required to reel it in.

  • Context: MHB 
  • Thread starter Thread starter Pull and Twist
  • Start date Start date
  • Tags Tags
    Length Rope Work
Click For Summary

Discussion Overview

The discussion revolves around solving for the length of a rope based on the work required to reel it in. Participants are exploring the setup of the problem, the integration process, and the interpretation of the variables involved. The context includes mathematical reasoning and problem-solving techniques related to calculus.

Discussion Character

  • Mathematical reasoning, Technical explanation, Debate/contested

Main Points Raised

  • One participant presents a method for calculating the work increment as $$dW=2.5(\ell-y)\,dy$$ and sets up an integral to find the total work done.
  • Another participant questions the choice of integrand $$\ell-y$$ and seeks clarification on its derivation, suggesting that it relates to the distance the rope has been hauled.
  • A different participant points out a potential error in the initial setup, suggesting an alternative integral formulation to arrive at the correct answer.
  • Some participants express agreement with the alternative method proposed, noting its cleverness and efficiency compared to the original approach.

Areas of Agreement / Disagreement

There is no consensus on the correct approach to the problem, as participants present differing methods and interpretations of the integrals involved. Some express confusion over the initial setup while others propose corrections without resolving the disagreement.

Contextual Notes

Participants reference different setups for the problem, indicating potential limitations in assumptions or interpretations of the variables. The discussion highlights the complexity of integrating the work done against the weight of the rope.

Pull and Twist
Messages
48
Reaction score
0
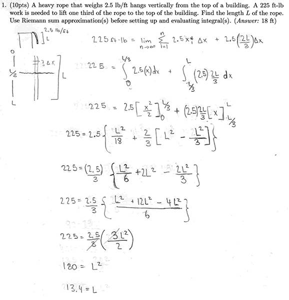
Hey guys, I'm currently working a take home problem that's a little different then what I have been practicing in my Calc. book. I thought I set it up correctly, but yet I am not getting the correct answer.

Can someone show me where I am going wrong?

This is what I have so far.

View attachment 4017
 

Attachments

  • problem.jpg
    problem.jpg
    31.5 KB · Views: 134
Physics news on Phys.org
I think what I would do is first compute the work increment:

$$dW=2.5(\ell-y)\,dy$$ where $0<\ell$

Now, add up the elements and equate that to the given work total:

$$2.5\int_{0}^{\frac{\ell}{3}} \ell-y\,dy=225$$

Divide through by 2.5:

$$\int_{0}^{\frac{\ell}{3}} \ell-y\,dy=90$$

Let:

$$u=\ell-y\,\therefore\,du=-dy$$

$$\int_{\frac{2\ell}{3}}^{\ell} u\,du=90$$

$$\ell^2=18^2$$

And so:

$$\ell=18$$
 
MarkFL said:
I think what I would do is first compute the work increment:

$$dW=2.5(\ell-y)\,dy$$ where $0<\ell$

Now, add up the elements and equate that to the given work total:

$$2.5\int_{0}^{\frac{\ell}{3}} \ell-y\,dy=225$$

Divide through by 2.5:

$$\int_{0}^{\frac{\ell}{3}} \ell-y\,dy=90$$

Let:

$$u=\ell-y\,\therefore\,du=-dy$$

$$\int_{\frac{2\ell}{3}}^{\ell} u\,du=90$$

$$\ell^2=18^2$$

And so:

$$\ell=18$$

How did you come up with $$\ell-y$$?

I'm confused as my math book has never set up a problem any other way then the way I did... so I'm not sure how you deduced your integrand.
 
PullandTwist said:
How did you come up with $$\ell-y$$?

I'm confused as my math book has never set up a problem any other way then the way I did... so I'm not sure how you deduced your integrand.

If $y$ is the distance through which the rope has been hauled, that is, the bottom of the rope is $y$ units above the ground, then the rope hauler is at that moment working against the weight of $\ell-y$ length of rope.

Does that make sense?
 
You have made a small error in your workings. Notice that the rest of the rope only moves up a distance of $L/3$, along with the rest of the rope. If you set up your second integral as $\int_{L/3}^{L} 2.5\frac{L}{3}\,dx$, you will get your desired answer. Indeed, Mark's method is a bit more clever.
 
Last edited:
Rido12 said:
You have made a small error in your workings. Notice that the rest of the rope only moves up a distance of $L/3$, along with the rest of the rope. If you set up your second integral as $\int_{L/3}^{L} 2.5\frac{L}{3}\,dx$, you will get your desired answer. Indeed, Mark's method is a bit more clever.

Thank you... that makes sense in respect to how I have been working the problems. Although I do agree that Mark's method is clever and requires less steps.
 

Similar threads

  • · Replies 5 ·
Replies
5
Views
3K
  • · Replies 6 ·
Replies
6
Views
2K
  • · Replies 17 ·
Replies
17
Views
11K
  • · Replies 1 ·
Replies
1
Views
2K
  • · Replies 12 ·
Replies
12
Views
4K
  • · Replies 1 ·
Replies
1
Views
4K
  • · Replies 3 ·
Replies
3
Views
2K
  • · Replies 7 ·
Replies
7
Views
3K
Replies
2
Views
2K
  • · Replies 2 ·
Replies
2
Views
7K