Solve the initial value problem

Click For Summary

Homework Help Overview

The problem involves solving an initial value problem characterized by a second-order differential equation with a delta function as a forcing term. The initial conditions provided are y(0) = 1 and y'(0) = -1.

Discussion Character

  • Exploratory, Conceptual clarification, Mathematical reasoning, Problem interpretation

Approaches and Questions Raised

  • Participants discuss the characteristic equation and its roots, questioning the use of Laplace transforms versus other methods. Some express confusion regarding the application of the Laplace transform and its inverse, while others suggest alternative approaches like variation of parameters.

Discussion Status

The discussion is ongoing with participants exploring different methods to approach the problem. Some guidance has been offered regarding the characteristic equation and potential errors in reasoning, but no consensus has been reached on the best method to solve the problem.

Contextual Notes

There is mention of a possible sign error and confusion regarding the application of Laplace transforms, indicating that participants are grappling with foundational concepts related to the problem.

jegues
Messages
1,085
Reaction score
3

Homework Statement



Solve the following initial value problem

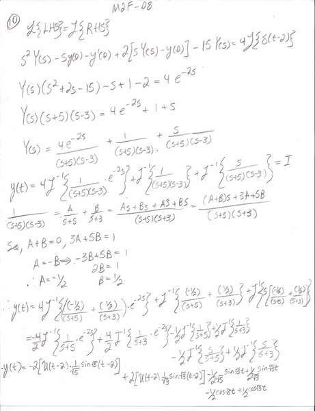
[tex]y^{''} + 2y^{'} - 15y = 4\delta(t-2), \quad y(0) = 1, \quad y'(0) = -1.[/tex]

Homework Equations





The Attempt at a Solution



See figure attached for my attempt at the solution.

Does anyone see any problems? Sorry if it's kinda crunched in there.
 

Attachments

  • 08Q10.jpg
    08Q10.jpg
    26 KB · Views: 529
Physics news on Phys.org
The characteristic equation for this d.e. is [itex]r^2+ 2r- 15= 0[/itex] which has real roots r= -5 and r= 3. The solution cannot possibly involve "sine" or "cosine". I suspect you have a sign error.
 
HallsofIvy said:
The characteristic equation for this d.e. is [itex]r^2+ 2r- 15= 0[/itex] which has real roots r= -5 and r= 3. The solution cannot possibly involve "sine" or "cosine". I suspect you have a sign error.


Hmmm... I can't seem to spot any errors. We haven't learned anything about the characteristic equations so I can't really relate to what you're telling me.

Is this a problem that should be solved with another method instead of using laplace transforms?
 
Hi there jegues! :smile:

What is the inverse Laplace of 1 / (s + a) ?
 
I have always disliked Laplace transform- quite frankly there is NO problem that can be solve by Laplace transform that cannot be solved by some other method (and probably simpler). What I would do with this problem is to first get the two independent solutions to the associated homogeneous equation, y''+ 2y'- 15y= 0 by solving the characteristic equation [itex]r^2+ 2r- 15= 0[/itex], then using "variation of parameters" to solve the entire equation.

As Saladsamurai suggests, you appear to be confusing the inverse Laplace transform of [itex]1/(s+ a)[/itex] with that of [itex]1/(s^2+ a^2)[/itex].
 
HallsofIvy said:
I have always disliked Laplace transform- quite frankly there is NO problem that can be solve by Laplace transform that cannot be solved by some other method (and probably simpler). What I would do with this problem is to first get the two independent solutions to the associated homogeneous equation, y''+ 2y'- 15y= 0 by solving the characteristic equation [itex]r^2+ 2r- 15= 0[/itex], then using "variation of parameters" to solve the entire equation.

As Saladsamurai suggests, you appear to be confusing the inverse Laplace transform of [itex]1/(s+ a)[/itex] with that of [itex]1/(s^2+ a^2)[/itex].

Whoops there's my mistake!

This clears things up now. :biggrin:

Thanks again!

EDIT: I also made a mistake in my partial fractions decomposition.
 
Last edited:

Similar threads

Replies
5
Views
2K
  • · Replies 1 ·
Replies
1
Views
1K
  • · Replies 1 ·
Replies
1
Views
2K
  • · Replies 1 ·
Replies
1
Views
1K
Replies
11
Views
2K
  • · Replies 15 ·
Replies
15
Views
2K
Replies
6
Views
3K
  • · Replies 1 ·
Replies
1
Views
3K
Replies
4
Views
2K
  • · Replies 11 ·
Replies
11
Views
3K