Solving an Integral Problem: Finding the Minus Sign

  • Thread starter Thread starter Jalo
  • Start date Start date
  • Tags Tags
    Integral
Click For Summary
SUMMARY

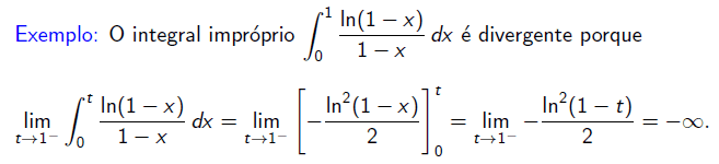
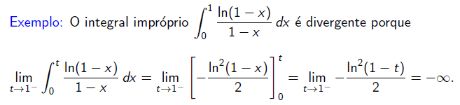
This discussion focuses on understanding the presence of a negative sign in the integral of the function involving the natural logarithm. The user initially believes the integral should yield ln^2(x-1)/2, but through the application of the chain rule and u-substitution (u = 1 - x), it is clarified that the correct result is -ln^2(x-1)/2. The negative sign arises from the derivative of the logarithmic function, confirming the importance of recognizing the impact of function transformations in integral calculus.

PREREQUISITES
  • Understanding of integral calculus, specifically integration techniques.
  • Familiarity with the chain rule in differentiation.
  • Knowledge of u-substitution methods in integrals.
  • Basic concepts of logarithmic functions and their properties.
NEXT STEPS
  • Study the application of u-substitution in integral calculus.
  • Learn about the chain rule in differentiation and its implications for integrals.
  • Explore advanced integration techniques involving logarithmic functions.
  • Practice solving integrals that include transformations of variables.
USEFUL FOR

Students studying calculus, particularly those focusing on integral calculus and differentiation techniques, as well as educators looking for examples of common misconceptions in integral evaluations.

Jalo
Messages
117
Reaction score
0

Homework Statement



2e2gumw.png

(ignore what's written, it isn't important for the problem)

I'm studying integrals and I came across this solved example. However I can't understand where the minus of the integral came from came from.

Homework Equations





The Attempt at a Solution



The primitive of a f^p * f ' function is f^(p+1) / (p+1) Therefore it should be ln^2(x-1)/2 and not -ln^2(x-1)/2

Thanks
 
Physics news on Phys.org
You could dispel any doubts by making a u-substitution. Try [itex]u = 1 - x[/itex] and see where that takes you.
 
Jalo said:

Homework Statement



2e2gumw.png

(ignore what's written, it isn't important for the problem)

I'm studying integrals and I came across this solved example. However I can't understand where the minus of the integral came from came from.

Homework Equations



The Attempt at a Solution



The primitive of a f^p * f ' function is f^(p+1) / (p+1) Therefore it should be ln^2(x-1)/2 and not -ln^2(x-1)/2

Thanks

By the chain rule: [itex]\displaystyle \frac{d}{dx}\ln(1-x)=\frac{1}{1-x}\frac{d}{dx}(1-x)=-\frac{1}{1-x}\,.[/itex]

So you have the anti-derivative of f^p * (- f ' ) .
 

Similar threads

  • · Replies 6 ·
Replies
6
Views
2K
  • · Replies 6 ·
Replies
6
Views
2K
  • · Replies 14 ·
Replies
14
Views
2K
  • · Replies 3 ·
Replies
3
Views
8K
  • · Replies 5 ·
Replies
5
Views
2K
Replies
2
Views
1K
  • · Replies 6 ·
Replies
6
Views
4K
  • · Replies 54 ·
2
Replies
54
Views
18K
  • · Replies 3 ·
Replies
3
Views
2K
  • · Replies 5 ·
Replies
5
Views
2K