Solving Homework: Can You Find the Right Answer?

  • Thread starter Thread starter athrun200
  • Start date Start date
  • Tags Tags
    Homework
Click For Summary

Homework Help Overview

The discussion revolves around a homework problem likely involving integration, where participants are attempting to find a specific answer related to a mathematical expression. The original poster indicates a discrepancy between their answer and the expected result.

Discussion Character

  • Exploratory, Assumption checking

Approaches and Questions Raised

  • Participants discuss the transformation of the integrand and the implications of a substitution method. There is a recognition of a potential error in the original poster's approach, with some expressing frustration over overlooked mistakes.

Discussion Status

The conversation includes expressions of common challenges faced in similar problems, with some participants sharing relatable experiences. There is an ongoing exploration of the integrand's transformation, but no consensus has been reached regarding the correct approach or solution.

Contextual Notes

Participants are navigating the complexities of integration and substitution, with an emphasis on identifying mistakes in their reasoning. The original poster's claim of a specific answer contrasts with their calculated result, indicating a potential misunderstanding or miscalculation that remains unaddressed.

athrun200
Messages
275
Reaction score
0

Homework Statement


attachment.php?attachmentid=37128&stc=1&d=1310465399.jpg

Homework Equations


The Attempt at a Solution


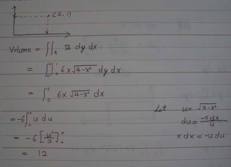
The answer is 16, but I get 12 only

attachment.php?attachmentid=37129&stc=1&d=1310465399.jpg
 

Attachments

  • 1.jpg
    1.jpg
    5.3 KB · Views: 407
  • 2.jpg
    2.jpg
    23.2 KB · Views: 412
Physics news on Phys.org
The integrand becomes u^2. one 'u' from the xdx and the other from the original substitution.
 
Oster said:
The integrand becomes u^2. one 'u' from the xdx and the other from the original substitution.

Oh my god. How come I can't even notice such a silly mistake.
 
lol. happens to me a lot.
 

Similar threads

  • · Replies 23 ·
Replies
23
Views
4K
  • · Replies 9 ·
Replies
9
Views
2K
  • · Replies 3 ·
Replies
3
Views
2K
  • · Replies 4 ·
Replies
4
Views
2K
  • · Replies 12 ·
Replies
12
Views
2K
  • · Replies 18 ·
Replies
18
Views
4K
  • · Replies 8 ·
Replies
8
Views
2K
Replies
3
Views
2K
Replies
48
Views
4K
  • · Replies 2 ·
Replies
2
Views
2K