Solving Homework Equations: The Attempt at a Solution

  • Thread starter Thread starter yecko
  • Start date Start date
  • Tags Tags
    Homework
Click For Summary
SUMMARY

The discussion focuses on the application of thermal resistance in the context of homework equations involving half-pipes. The user questions the absence of a factor of 1/2 in the solution manual, which is clarified by the explanation that the surfaces of the half-pipes lead to a doubled thermal resistance, effectively eliminating the need for the 1/2 factor in the denominator. This highlights the importance of understanding how geometric configurations affect thermal calculations.

PREREQUISITES
  • Understanding of thermal resistance concepts
  • Familiarity with geometric configurations in physics
  • Basic knowledge of equations involving ratios and fractions
  • Experience with problem-solving in physics homework
NEXT STEPS
  • Research the principles of thermal resistance in different geometries
  • Study the impact of surface area on thermal calculations
  • Learn about the derivation of equations involving half-pipes
  • Explore common pitfalls in physics homework solutions
USEFUL FOR

Students studying physics, educators teaching thermal dynamics, and anyone involved in solving complex homework equations related to thermal resistance.

yecko
Gold Member
Messages
275
Reaction score
15

Homework Statement


upload_2018-9-9_16-49-24.png

solution:
upload_2018-9-9_16-49-41.png


Homework Equations


upload_2018-9-9_16-50-3.png


The Attempt at a Solution


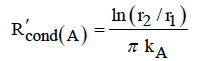
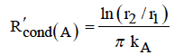
I thought this question should use :
upload_2018-9-9_16-50-30.png
, but the solution manual used
upload_2018-9-9_16-50-47.png
instead, which 1/2 is missing... may I know what the 1/2 account for and why doesn't we need to multiply the equation by 1/2 ?
thank you
 

Attachments

  • upload_2018-9-9_16-49-24.png
    upload_2018-9-9_16-49-24.png
    38.2 KB · Views: 1,386
  • upload_2018-9-9_16-49-41.png
    upload_2018-9-9_16-49-41.png
    48.3 KB · Views: 1,230
  • upload_2018-9-9_16-50-3.png
    upload_2018-9-9_16-50-3.png
    67.2 KB · Views: 857
  • upload_2018-9-9_16-50-30.png
    upload_2018-9-9_16-50-30.png
    2.4 KB · Views: 850
  • upload_2018-9-9_16-50-47.png
    upload_2018-9-9_16-50-47.png
    1.5 KB · Views: 875
Physics news on Phys.org
yecko said:

The Attempt at a Solution


I thought this question should use :View attachment 230458, but the solution manual usedView attachment 230459 instead, which 1/2 is missing... may I know what the 1/2 account for and why doesn't we need to multiply the equation by 1/2 ?

Since the the parts ##A## and ##B## of the pipe are only "half-pipes", their surfaces are halved resulting in a doubled thermal resistance (and the ##2## in the denominateor vanishes).
 
  • Like
Likes   Reactions: yecko

Similar threads

Replies
3
Views
2K
  • · Replies 4 ·
Replies
4
Views
1K
  • · Replies 1 ·
Replies
1
Views
2K
  • · Replies 4 ·
Replies
4
Views
2K
  • · Replies 1 ·
Replies
1
Views
3K
Replies
2
Views
2K
Replies
1
Views
2K
  • · Replies 1 ·
Replies
1
Views
2K
  • · Replies 1 ·
Replies
1
Views
2K
  • · Replies 4 ·
Replies
4
Views
2K