Solving Maxwell's Equations for Electric Field of AC Wire

Click For Summary

Discussion Overview

The discussion revolves around solving Maxwell's equations to determine the electric field generated by an alternating current (AC) wire. Participants explore the implications of the current waveform, the magnetic field generated, and the application of Stokes' theorem in the context of cylindrical coordinates.

Discussion Character

  • Technical explanation
  • Mathematical reasoning
  • Debate/contested

Main Points Raised

  • One participant presents the voltage waveform and calculates the current using Ohm's law, leading to a proposed magnetic field expression.
  • Another participant asserts that the curl of the magnetic field is not zero and encourages the use of Stokes' theorem to relate the curl to the magnetic field's circulation.
  • A participant expresses confusion about the coordinate system and the direction of the axes, suggesting that integrating in cylindrical coordinates may be more appropriate.
  • One participant clarifies that the curl of the magnetic field is zero outside the wire, only being nonzero along the wire where the current is present.
  • Another participant agrees with the calculation of the curl and discusses the relationship between the magnetic field and the electric field, questioning whether a significant electric field is produced at low frequencies.
  • There is a repeated inquiry about the direction of the current in the coordinate system, with a participant noting that the AC current alternates direction.

Areas of Agreement / Disagreement

Participants express differing views on the application of coordinate systems and the implications of the curl of the magnetic field. There is no consensus on the significance of the electric field generated by the AC current, particularly at low frequencies.

Contextual Notes

Participants highlight the importance of using cylindrical coordinates for this problem, and there are unresolved questions regarding the integration approach and the specific setup of the problem.

nlis12
Messages
32
Reaction score
3
I'm having trouble figuring out how to solve Maxwell's equations for the electric field of an AC wire.

I assume the Voltage waveform in the wire is 120sin(60t). This circuit only has a 14ohm heater in it, according to Ohm's law I=V/R. The current is equation to I(t)=120sin(60t)/14

It is common knowledge that a current carrying wire creates a magnetic field in the THETA direction.
This magnetic field is :
B(t)= uo*I(t)/(2*pi*r) theta direction

Where r is the cylindrical, radial distance from the x axis.

Now plugging in B(t) into ampere's law, I run into trouble when solving for the time varying electric field. Particularly when calculating the curl of B(t). I always get zero.

Am I setting this problem up correctly? Any hints as to where I went wrong?
 
Physics news on Phys.org
Sure, well the ##\nabla \times B## is not zero because the field is sort of circular. You wrote that it is in the ##\theta## direction. That is correct; if you surround the wire by a circle, the field would be tangent to the circle. Show me how you calculate the curl. Stokes theorem gives a relationship between the curl of B and the the product of ##|B|## times the circumference.

Thanks for your question!
 
  • Like
Likes   Reactions: nlis12
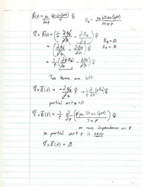
Gene,

Please see this link, this is how I solved the Curl of the Magnetic Field
PTDC0027_zpss30aydk4.jpg
 

Attachments

  • PTDC0027_zpss30aydk4.jpg
    PTDC0027_zpss30aydk4.jpg
    25.5 KB · Views: 525
Hi there,
Could you please tell me which way is the Z axis going? And the x and y axes?

It would be easier to use Stokes theorem. You just integrate around a circle.

Regards,
Gene
 
  • Like
Likes   Reactions: nlis12
cylindrical_coordinates.png


Here is a diagram of the coordinate system I used.
Theta starts at the positive x-axis and rotates towards the positive y axis.
r = rho , which is the distance away from the z axis.
 

Attachments

  • cylindrical_coordinates.png
    cylindrical_coordinates.png
    3.4 KB · Views: 603
Gene Naden said:
Hi there,
Could you please tell me which way is the Z axis going? And the x and y axes?

It would be easier to use Stokes theorem. You just integrate around a circle.

Regards,
Gene
I will try stokes theorem!

Thank you for your help!
 
Which way is the current going in your coordinate system, please?
 
  • Like
Likes   Reactions: nlis12
Gene Naden said:
Which way is the current going in your coordinate system, please?

Gene,

In my problem, I stated AC current. The current waveform is modeled by a sinewave, so half the time it is in the positive z axis and half the time it is in the negative z axis.

I guess, I don't understand why you wouldn't just integrate in cylindrical units as opposed to cartesian, because this problem was set up in cylindrical units.
 
Actually, I misled you. ##\nabla \times B## is equal to zero outside the wire. It is only nonzero along the wire where ##\rho=0## (where the current is).
 
  • Like
Likes   Reactions: nlis12
  • #10
So I think your calculation of the curl is correct. And you have the right dependence of the magnetic field on ##\rho##. It is inversely proportional. And the magnetic field alternates back and forth as the current alternates. The question in my mind is whether or not this produces an electric field. At low frequencies (like 60 Hz), I would say the electric field is negligible.

You don't say exactly what the statement of the problem is. Did the instructor just say "solve Maxwell's equations" and leave it at that?

Regards,
Gene
 
  • Like
Likes   Reactions: nlis12
  • #11
I just noticed your question about coordinate systems. You are absolutely right; use cylindrical coordinates for this problem.
 
  • Like
Likes   Reactions: nlis12
  • #12
Gene Naden said:
I just noticed your question about coordinate systems. You are absolutely right; use cylindrical coordinates for this problem.

Thank you for helping me clear this up!
Much appreciated!
 

Similar threads

  • · Replies 3 ·
Replies
3
Views
1K
  • · Replies 11 ·
Replies
11
Views
1K
  • · Replies 1 ·
Replies
1
Views
2K
  • · Replies 3 ·
Replies
3
Views
2K
  • · Replies 27 ·
Replies
27
Views
3K
  • · Replies 11 ·
Replies
11
Views
3K
  • · Replies 2 ·
Replies
2
Views
2K
  • · Replies 1 ·
Replies
1
Views
1K
  • · Replies 4 ·
Replies
4
Views
2K
  • · Replies 7 ·
Replies
7
Views
2K