Solving polynomial using matrix methods

  • Thread starter Thread starter unscientific
  • Start date Start date
  • Tags Tags
    Matrix Polynomial
Click For Summary

Homework Help Overview

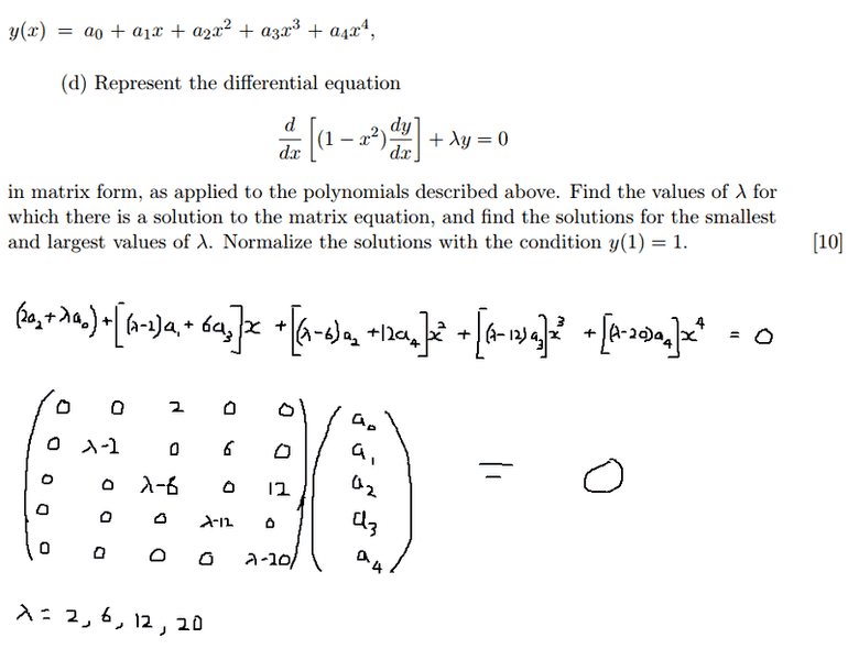
The discussion revolves around representing a differential equation involving a polynomial function in matrix form and determining the values of λ for which solutions exist. The equation is given as (d/dx)[ (1-x²)(dy/dx) ] + λy = 0, where y(x) is a polynomial of degree four.

Discussion Character

  • Exploratory, Mathematical reasoning, Assumption checking

Approaches and Questions Raised

  • Participants discuss the process of substituting values of λ into the matrix and the implications of the resulting equations for the coefficients of the polynomial. There is uncertainty about the interpretation of results, particularly regarding non-trivial solutions and the conditions imposed by y(1) = 1.

Discussion Status

Participants are actively engaging with the problem, questioning assumptions about the coefficients of the polynomial and the implications of their findings. Some guidance has been offered regarding the need to ensure non-trivial solutions and the normalization condition, but there is no explicit consensus on the final values of the coefficients.

Contextual Notes

There is ongoing confusion regarding the normalization condition y(1) = 1 and its impact on the coefficients of the polynomial. Participants are also addressing potential errors in their matrix representations and calculations.

unscientific
Messages
1,728
Reaction score
13

Homework Statement



Let y(x) = a0 + a1x + a2x2 + a3x3 + a4x4

Represent the differential equation

(d/dx)[ (1-x2)(dy/dx) ] + λy = 0

in matrix form. Find the values of λ for which there is a solution to the matrix equation, and find the solutions for the smallest and largest values of λ. Normalize these solutions with the condition y(1) = 1.


Homework Equations





The Attempt at a Solution



I got as far as finding the values of λ = 0, 2, 6, 12, 20. Am i supposed to plug in the values of λ into the differential equation and solve it by finding the characteristic equation by assuming y = Aeβx? But the question gives y as a polynomial: y(x) = a0 + a1x + a2x2 + a3x3 + a4x4

6nz8nl.png
 
Physics news on Phys.org
unscientific said:

Homework Statement



Let y(x) = a0 + a1x + a2x2 + a3x3 + a4x4

Represent the differential equation

(d/dx)[ (1-x2)(dy/dx) ] + λy = 0

in matrix form. Find the values of λ for which there is a solution to the matrix equation, and find the solutions for the smallest and largest values of λ. Normalize these solutions with the condition y(1) = 1.


Homework Equations





The Attempt at a Solution



I got as far as finding the values of λ = 0, 2, 6, 12, 20. Am i supposed to plug in the values of λ into the differential equation and solve it by finding the characteristic equation by assuming y = Aeβx? But the question gives y as a polynomial: y(x) = a0 + a1x + a2x2 + a3x3 + a4x4

6nz8nl.png

Check your matrix. You are missing a λ in the first row. That will give you another value for λ. And you are supposed to substitute the values of λ into your matrix and find corresponding a's.
 
Dick said:
Check your matrix. You are missing a λ in the first row. That will give you another value for λ. And you are supposed to substitute the values of λ into your matrix and find corresponding a's.

Oops i wrote my matrix wrongly from my working on paper. The smallest value of λ = 0.

I don't understand what you mean by "finding the corresponding a's".

Say i sub in λ = 0. All i get is: BA = 0, where B is the matrix with the subbed value of λ and A is the column with all the a0, a1, ...

For example, let's consider [5,5].

(-20)(a4) = 0.

This doesn't mean anything other than a4 = 0. Then it would mean a0 = a1 = a2 = a3 = a4 = 0
 
unscientific said:
Oops i wrote my matrix wrongly from my working on paper. The smallest value of λ = 0.

I don't understand what you mean by "finding the corresponding a's".

Say i sub in λ = 0. All i get is: BA = 0, where B is the matrix with the subbed value of λ and A is the column with all the a0, a1, ...

For example, let's consider [5,5].

(-20)(a4) = 0.

This doesn't mean anything other than a4 = 0. Then it would mean a0 = a1 = a2 = a3 = a4 = 0

You are jumping to conclusions. Just because a4=0 doesn't mean ALL of they a's have to be zero. They don't. Which one doesn't?
 
Dick said:
You are jumping to conclusions. Just because a4=0 doesn't mean ALL of they a's have to be zero. They don't. Which one doesn't?

Taking λ = 0,

Let's start with the bottom row.

-20a4 = 0,

=> a4 = 0

-12a3 = 0

=> a3 = 0

-6a2 + 12a4 = 0

=> a2 = 0

-2a1 + 6a3 = 0

=> a1 = 0

and finally 2a2 = 0
 
unscientific said:
Taking λ = 0,

Let's start with the bottom row.

-20a4 = 0,

=> a4 = 0

-12a3 = 0

=> a3 = 0

-6a2 + 12a4 = 0

=> a2 = 0

-2a1 + 6a3 = 0

=> a1 = 0

and finally 2a2 = 0

You forgot a0.
 
Dick said:
You forgot a0.

I put in λ = 0 into the matrix at [1,1]. This gives a0 = 0 as well..
 
No, it doesn't.
 
vela said:
No, it doesn't.

0 * a0 + 2a1 = 0

does this mean a0 can be any real number?
 
  • #10
To satisfy that equation, yes. But it needs to be non-zero because you're looking for a non-trivial solution to the system of equations.
 
  • #11
vela said:
a

Then when i sub in λ = 20,

I have a4 = any real number,

a3 = 0,

a2 = -(6/7)a4

a1 = 0

a0 = 0

is this right?
 
  • #12
You shouldn't get ##a_0=0##. The rest are right.
 
  • #13
vela said:
You shouldn't get ##a_0=0##. The rest are right.

For λ = 0

-20a4 = 0,

=> a4 = 0

-12a3 = 0

=> a3 = 0

-6a2 + 12a4 = 0

=> a2 = 0

-2a1 + 6a3 = 0

a1*0 = 0

a1 [itex]\subset[/itex] ℝ


is it because from the condition:

y(1) = 1

a0 + a1 + a2 + a3 + a4 = 1

So, a0 = 1


For λ = 20

=> a4 [itex]\subset[/itex] ℝ,

=> a3 = 0

14a2 + 12a4 = 0
=> a2 = (-6/7) a4

18a1 + 6a3 = 0
=> a1 = 0

20a0 + 2a2 = 0
=> a0 = (-1/10)a2 = (3/35)a4

Using a0 + a1 + a2 + a3 + a4 = 1



a0 = 3/8
a1 = 0
a2 = -48/245
a3 = 0
a4 = 35/8
 
Last edited:
  • #14
unscientific said:
For λ = 0

-20a4 = 0,

=> a4 = 0

-12a3 = 0

=> a3 = 0

-6a2 + 12a4 = 0

=> a2 = 0

-2a1 + 6a3 = 0

a1*0 = 0

a1 [itex]\subset[/itex] ℝis it because from the condition:

y(1) = 1

a0 + a1 + a2 + a3 + a4 = 1

So, a0 = 1For λ = 20

=> a4 [itex]\subset[/itex] ℝ,

=> a3 = 0

14a2 + 12a4 = 0
=> a2 = (-6/7) a4

18a1 + 6a3 = 0
=> a1 = 0

20a0 + 2a2 = 0
=> a0 = (-1/10)a2 = (3/35)a4

Using a0 + a1 + a2 + a3 + a4 = 1
a0 = 3/8
a1 = 0
a2 = -48/245
a3 = 0
a4 = 35/8

All correct, except your final a's for λ=20 don't sum to 1.
 

Similar threads

  • · Replies 4 ·
Replies
4
Views
2K
Replies
4
Views
2K
Replies
3
Views
2K
  • · Replies 10 ·
Replies
10
Views
2K
  • · Replies 9 ·
Replies
9
Views
4K
  • · Replies 3 ·
Replies
3
Views
2K
  • · Replies 10 ·
Replies
10
Views
2K
  • · Replies 11 ·
Replies
11
Views
2K
  • · Replies 2 ·
Replies
2
Views
1K
Replies
9
Views
3K