Spherical coordinates path integral and stokes theorem

Click For Summary
SUMMARY

The discussion focuses on applying Stokes' Theorem and path integrals in spherical coordinates, specifically addressing the surface area element for a cone. The correct surface area element for the first problem is confirmed as r²sin(θ) dθdφ, while the second problem requires a reevaluation of the surface area element due to the constancy of θ, leading to dθ = 0. The necessity of considering the direction of the area vector for Stokes' Theorem is emphasized, clarifying the approach to the problems presented.

PREREQUISITES
  • Understanding of Stokes' Theorem
  • Familiarity with spherical coordinates
  • Knowledge of path integrals
  • Basic concepts of vector calculus
NEXT STEPS
  • Study the application of Stokes' Theorem in various coordinate systems
  • Learn about the Jacobian determinant in coordinate transformations
  • Explore the derivation of surface area elements in spherical coordinates
  • Investigate the concept of area vectors in vector calculus
USEFUL FOR

Students and professionals in mathematics and physics, particularly those dealing with vector calculus, path integrals, and surface integrals in spherical coordinates.

Biffinator87
Messages
24
Reaction score
1

Homework Statement


image2 (1).JPG


Homework Equations



The path integral equation, Stokes Theorem, the curl

The Attempt at a Solution


[/B]
image1 (1).JPG


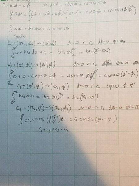
sorry to put it in like this but it seemed easier than typing it all out. I have a couple of questions regarding this problem that I hope can be answered. First, does this look like the right path to the solution? I feel like I should be involving the Jacobian in the integral somewhere. Second, would the surface element be r2sin(θ) dθdφ for this and problem 2? Any help is greatly appreciated!
 
Physics news on Phys.org
Looks to me like you are approaching problem 1 correctly. I'm not sure why you feel that a Jacobian [determinant (?)] should be involved here. Your surface area element is correct for problem 1. For Stokes' theorem you will need to consider the direction of the area vector for the surface element.

For the second problem, you do not have the correct surface area element. As you move around on the cone, there is no change in ##\theta##. So, ##d\theta = 0## and your expression for the surface element would be zero.

Consider how you would express the area of an infinitesimal patch of the cone in the shape of a rectangle (sort of), where two of the sides are due to an infinitesimal change in ##r## and the other two sides are due to infinitesimal changes in ##\phi##. You should also consider how you would express the area vector for this patch.
 
Last edited:
Thanks for the help! The more I thought about it the more I understood why the Jacobian shouldn't be involved. I'll checkout that area vector and the direction of it.
 

Similar threads

Replies
6
Views
2K
  • · Replies 17 ·
Replies
17
Views
11K
  • · Replies 7 ·
Replies
7
Views
3K
  • · Replies 9 ·
Replies
9
Views
7K
  • · Replies 13 ·
Replies
13
Views
2K
Replies
26
Views
6K
  • · Replies 3 ·
Replies
3
Views
3K
  • · Replies 6 ·
Replies
6
Views
2K
  • · Replies 4 ·
Replies
4
Views
2K
  • · Replies 1 ·
Replies
1
Views
2K