Surface Integral (two different answers?)

Click For Summary

Homework Help Overview

The discussion revolves around a surface integral problem involving a paraboloid and the correct calculation of the differential area element, dS. Participants are comparing their solutions and the provided solution, questioning the appropriateness of the parameterization and the choice of coordinates.

Discussion Character

  • Mixed

Approaches and Questions Raised

  • Some participants express uncertainty about their solutions and the provided solution, suggesting that both seem correct. Others question the choice of dS and its relation to the surface being analyzed, particularly whether it should be treated as a cylinder or a paraboloid. There is discussion about the parameterization of the surface in cylindrical coordinates and the implications for calculating dS.

Discussion Status

Participants are actively exploring different interpretations of the problem, particularly regarding the parameterization and the calculation of dS. Some guidance has been offered on the correct approach to parameterization and the implications of using different coordinates, but no consensus has been reached.

Contextual Notes

There are indications that participants are grappling with assumptions about the nature of the surface and the appropriate coordinate system to use. The discussion reflects a need for clarity on the definitions and calculations involved in surface integrals.

unscientific
Messages
1,728
Reaction score
13

Homework Statement


1t5vv4.png



Homework Equations





The Attempt at a Solution



Not sure what's wrong with mine or the provided solution..both seems to be right.

My Solution:
e01tav.png


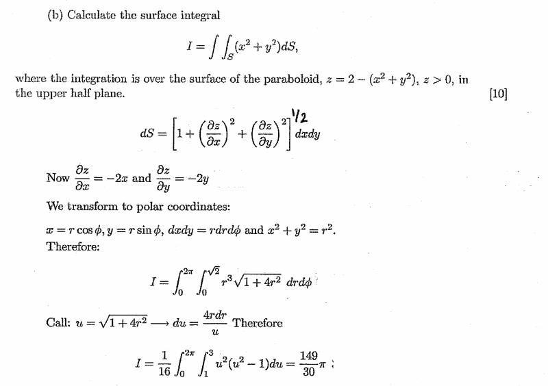
Provided Solution:
106diye.png
 
Physics news on Phys.org
unscientific said:

Homework Statement


1t5vv4.png



Homework Equations





The Attempt at a Solution



Not sure what's wrong with mine or the provided solution..both seems to be right.

My Solution:
e01tav.png


Provided Solution:
106diye.png

I don't know why you just decided to use ##dS=r d\phi dz## instead of calculating it like the book did. Your solution is wrong. The dS you are using looks more like a dS for a cylinder than a paraboloid.
 
Dick said:
I don't know why you just decided to use ##dS=r d\phi dz## instead of calculating it like the book did. Your solution is wrong. The dS you are using looks more like a dS for a cylinder than a paraboloid.

But it shouldn't matter what coordinates you choose, right? It's not exactly a cylinder, as r is changing with z; r = √(2-z) and the equation x2 + y2 = 2 - z
is in the form of x2 + y2 = r2..
 
unscientific said:
But it shouldn't matter what coordinates you choose, right? It's not exactly a cylinder, as r is changing with z; r = √(2-z) and the equation x2 + y2 = 2 - z
is in the form of x2 + y2 = r2..

You must use the correct dS for your parameterization. You can either calculate dS in terms of x and y like they did or directly from your parameterization. The parameterization of that surface in cylindrical coordinates is$$
\vec R(r,\theta)=\langle r\cos\theta,r\sin\theta,2-r^2\rangle$$If you use that approach, the formula for dS is$$
dS = |\vec R_r \times\vec R_\theta|drd\theta$$
 
LCKurtz said:
You must use the correct dS for your parameterization. You can either calculate dS in terms of x and y like they did or directly from your parameterization. The parameterization of that surface in cylindrical coordinates is$$
\vec R(r,\theta)=\langle r\cos\theta,r\sin\theta,2-r^2\rangle$$If you use that approach, the formula for dS is$$
dS = |\vec R_r \times\vec R_\theta|drd\theta$$

Hmm that makes sense. In my geometric derivation of dS, did I assume that R is constant somewhere?

is Rr = ∂R/∂θ

and

Rθ = ∂R/∂r ??
 
unscientific said:
Hmm that makes sense. In my geometric derivation of dS, did I assume that R is constant somewhere?

is Rr = ∂R/∂θ

and

Rθ = ∂R/∂r ??

No, it's the other way around ##\vec R_r## is the derivative with respect to r. And, yes, if you imagine r constant (like a cylinder) you might write a dS like that down. But it would be wrong.
 
unscientific said:
Hmm that makes sense. In my geometric derivation of dS, did I assume that R is constant somewhere?
yes, the equation dS=r d(theta) dz only works for a surface of constant (cylindrical) radius. For a general surface, the equation will be different. Also, it doesn't matter which coordinates you use, in the sense that you could use
[tex]dS = |\vec R_r \times\vec R_\theta|drd\theta[/tex]
Or you could use
[tex]dS = |\vec R_z \times\vec R_\theta|dzd\theta[/tex]
Either of these equations would give you the correct answer. The second one is the 'correct way' to do the surface you were thinking of (i.e. integrating over theta and z). The main thing is that you need to substitute your 'parameterisation' into [itex]\vec{R}[/itex] before you do the partial integration. i.e. if you do the second equation for dS, then you will need to replace r with a function of z, then differentiate the position vector with respect to z.

Or, I guess equivalently, you can say that the partial derivative with respect to z is done, while only holding theta constant (i.e. r is allowed to vary).
 

Similar threads

  • · Replies 3 ·
Replies
3
Views
2K
  • · Replies 5 ·
Replies
5
Views
2K
  • · Replies 7 ·
Replies
7
Views
3K
  • · Replies 7 ·
Replies
7
Views
2K
Replies
2
Views
2K
  • · Replies 1 ·
Replies
1
Views
3K
  • · Replies 14 ·
Replies
14
Views
3K
  • · Replies 4 ·
Replies
4
Views
2K
  • · Replies 7 ·
Replies
7
Views
3K
Replies
2
Views
3K