Surface Integral Homework: Is the Author's Solution Wrong?

Click For Summary

Homework Help Overview

The discussion revolves around the application of surface integrals and the potential misinterpretation of a problem involving Stokes' theorem and Gauss' law. Participants are examining the context of the author's solution regarding the correct use of these theorems in evaluating integrals of vector fields.

Discussion Character

  • Conceptual clarification, Assumption checking, Problem interpretation

Approaches and Questions Raised

  • Participants question the specific type of surface integral the author is referring to and whether Stokes' theorem or Gauss' law is applicable. There is a discussion on the need for clarity in the problem statement and the implications of using different theorems for evaluation.

Discussion Status

The discussion is ongoing, with participants exploring different interpretations of the author's intent. Some suggest that the author may have intended to ask for a line integral instead of a surface integral. There is a recognition of the complexity involved in applying the theorems correctly.

Contextual Notes

There is uncertainty regarding the specific surface integral being referenced, as well as the assumptions about the applicability of Gauss' law and Stokes' theorem. Participants note the importance of understanding the problem's requirements before proceeding with calculations.

fonseh
Messages
521
Reaction score
2

Homework Statement


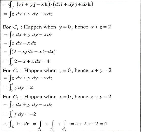
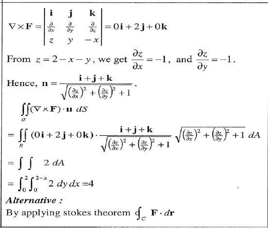
Is the solution provided by the author wrong ? Stokes theorem is used to calculate the line integral of vector filed , am i right ?

Homework Equations

The Attempt at a Solution


To find the surface integral of many different planes in a solid , we need to use Gauss theorem , right ?
 

Attachments

  • 492.JPG
    492.JPG
    17.8 KB · Views: 473
  • 490.JPG
    490.JPG
    26.4 KB · Views: 499
  • 491.JPG
    491.JPG
    28.4 KB · Views: 473
Physics news on Phys.org
The author doesn't seem to specify what surface integral he is asking for. If he wants ## \int F \cdot dA ##, Gauss' law works for the surface enclosing a volume, and wouldn't apply here. If he wants you to evaluate ## \int \nabla \times F \cdot \, dA ##, you can use Stokes theorem and alternatively compute the line integral of ## \oint F \cdot \, ds ## around the perimeter. ## \\ ## editing... If the author wants you to evaluate ## \int F \cdot \, dA ##, there are no shortcuts that I know of=neither Gauss' law or Stokes theorem will apply. You simply need to crank it out the long way... And none of us are infallible=it is my guess the author made a mistake.
 
Last edited:
  • Like
Likes   Reactions: fonseh
Charles Link said:
The author doesn't seem to specify what surface integral he is asking for. If he wants ## \int F \cdot dA ##, Gauss' law works for the surface enclosing a volume, and wouldn't apply here. If he wants you to evaluate ## \int \nabla \times F \cdot \, dA ##, you can use Stokes theorem and alternatively compute the line integral of ## \oint F \cdot \, ds ## around the perimeter. ## \\ ## editing... If the author wants you to evaluate ## \int F \cdot \, dA ##, there are no shortcuts that I know of=neither Gauss' law or Stokes theorem will apply. You simply need to crank it out the long way... And none of us are infallible=it is my guess the author made a mistake.
Do you mean that the author maybe mean find the line integral and not find surface integral in this question ?
 
fonseh said:
Do you mean that the author maybe mean find the line integral and not find surface integral in this question ?
Frequently in such problems the author wants you to demonstrate Stokes' theorem by working it both ways. It's a learning thing.
 

Similar threads

  • · Replies 7 ·
Replies
7
Views
3K
  • · Replies 4 ·
Replies
4
Views
2K
  • · Replies 3 ·
Replies
3
Views
2K
  • · Replies 1 ·
Replies
1
Views
3K
  • · Replies 5 ·
Replies
5
Views
2K
  • · Replies 7 ·
Replies
7
Views
2K
  • · Replies 2 ·
Replies
2
Views
2K
  • · Replies 6 ·
Replies
6
Views
3K
  • · Replies 1 ·
Replies
1
Views
1K
Replies
6
Views
3K