Symmetry in Triple Integrals: Understanding the Concept and Solving Problems

  • Thread starter Thread starter Durdum
  • Start date Start date
Click For Summary

Homework Help Overview

The discussion revolves around the concept of symmetry in triple integrals, specifically focusing on the integral of the function \(xy\) over a defined volume. Participants are exploring why the integral evaluates to zero and the implications of symmetry in the context of the given boundaries.

Discussion Character

  • Exploratory, Assumption checking, Conceptual clarification

Approaches and Questions Raised

  • Participants discuss the setup of the triple integral and question the symmetry of the function \(xy\) over the specified region. Some express confusion about the boundaries and the implications of integrating over only a portion of the volume.

Discussion Status

There is an ongoing exploration of the symmetry properties of the integral, with some participants suggesting that the integral evaluates to zero due to the contributions from different quadrants. Others are seeking clarification on the setup and the role of absolute values in the equations provided.

Contextual Notes

Some participants note that the original problem statement was not fully included in the discussion, which may lead to misunderstandings about the boundaries and the nature of the volume being integrated over. There is also mention of using graphical tools to visualize the problem, which has influenced participants' understanding of the symmetry involved.

Durdum
Messages
6
Reaction score
0
Member warned that an effort toward solution must be shown

Homework Statement


Why is it symmetrical thus zero?

Homework Equations


The original equation is with main focus on the first part, cause therein lies the symmetry
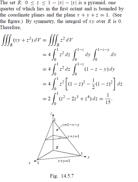
[tex]\int\int\int xy \quad dV + \int\int\int z^2 \quad dV[/tex]
and
[tex]0 \leq z\leq 1 - x - y[/tex]
See also the picture!

The Attempt at a Solution


I drew a drawing in the xy-plane and it was a line with equation [tex]y = 1-x[/tex].
So that allowed me to set up the triple integral as:

[tex]\int_{0}^{1}\int_{0}^{1-x}\int_{0}^{1-x-y} xy \quad dzdydx = \frac{1}{120}[/tex]
 

Attachments

  • sdgdfgfdggredhgfdgb.png
    sdgdfgfdggredhgfdgb.png
    50 KB · Views: 537
Last edited:
Physics news on Phys.org
Durdum said:
I tried calculate it hundreds of times
Could you please post your steps in detail for one of those, so we can help you ?
 
Can you show us the triple integral for the xy term and how you evaluated it?
 
It would have been useful to write the problem statement here.
Durdum said:
integrals with boundries {x, 0,1}, {y,0,1-x}, {z, 0, 1-x-y} dzdydx
If you integrate it over 1/4 of the set only, it is not zero. Integrate it over the full set (not what the image shows) and you should get zero.
 
[tex]\int\int\int xy \quad dV + \int\int\int z^2 \quad dV[/tex]
basically what is shown in the picture.
I chose
[tex]\int_{0}^{1}\int_{0}^{1-x}\int_{0}^{1-x-y} xy \quad dzdydx[/tex]
from here on it is easy peasy, I dropped it in Mathmatica and it said [tex]\frac{1}{120}[/tex] so I started to cry.

mfb said:
It would have been useful to write the problem statement here.
If you integrate it over 1/4 of the set only, it is not zero. Integrate it over the full set (not what the image shows) and you should get zero.
What exactly do you mean with 1/4?

Yes, I plotted [tex]z = 1- x - y[/tex] in Wolframalpha and I saw that the shape was symmetrical, BUT the domain is for [tex]z\geq 0.[/tex] So I don't understand why it is okay. If you would say that the front in the picture is 1/4 and the back is 1/4 so a total of 1/2, then I understand but again the book wants you to calculate for z above 0, zo why multiply with 4 and not 2?

I can figure that it is an odd function because [tex]f(-x) = -f(x)[/tex] but the calculation does not add up.

NOTE: I used wolframalpa to be sure that I don't mess up the algebra, so I make a mistake however I don't understand where!
 
Last edited:
The integral you have calculated is correct, giving ##\frac 1 {120}##. But the ##xy## domain for your pyramid looks like this:
diamond.jpg

You have only done the integral of ##xy## over the shaded portion. If you do the remaining three regions you will find that you get the same ##\frac 1 {120}## for quadrant III and ##-\frac 1 {120}## in quadrants II and IV, so the total integral is ##0##. It is because of the signs of ##x## and ##y## in the various quadrants.
 
  • Like
Likes   Reactions: mfb
Durdum said:

Homework Statement


Why is it symmetrical thus zero? I tried calculate it hundreds of times but still get a number small... but a number 1/120

Homework Equations



See the picture!

The Attempt at a Solution



integrals with boundries {x, 0,1}, {y,0,1-x}, {z, 0, 1-x-y} dzdydx

Trying to calculate the XY part.

You can see it is zero without doing any calculations.

An integral ##\int\int\int_R f(x,y,x) \, dV## is really the limit of the sums ##\sum_{i} f(x_i,y_i, z_i) \Delta V## as the number of terms ##i## goes to ##\infty## and the individual box volumes ##\Delta V## go to 0. If we fix the box sides at length ##\delta > 0##, then ##\Delta V = \delta^3.## Now, for any box centered at ##(x_i,y_i,z_i)## in the first orthant, there are three other boxes centered at ##(-x_i, y_i, z_i), (x_i,-y_i,z_i), (-x_i -y_i,z_i).## The contribution of those four boxes to the sum is ##[x_i y_i + (-x_i) y_i + x_i (-y_i) + (-x_i) (-y_i)] \delta^3 = 0.##
 
Last edited:
LCKurtz said:
The integral you have calculated is correct, giving ##\frac 1 {120}##. But the ##xy## domain for your pyramid looks like this:
View attachment 114497
You have only done the integral of ##xy## over the shaded portion. If you do the remaining three regions you will find that you get the same ##\frac 1 {120}## for quadrant III and ##-\frac 1 {120}## in quadrants II and IV, so the total integral is ##0##. It is because of the signs of ##x## and ##y## in the various quadrants.

Yes! I understand, however I only drew the first line and not the other three. Why and how could I have distilled that from the equation?

[tex]z = 1- x - y[/tex], with [tex]z = 0[/tex] in xy-plane gives [tex]y = 1- x[/tex]
 
The equation you were given was ##0 \le z \le 1 - |x| - |y|##, and that right side is ##1-x-y## only in the first ##xy## quadrant where both ##x## and ##y## are positive. The equation ##1 - |x| - |y| = 0## gives the diamond shape in the ##xy## plane.
 
  • #10
LCKurtz said:
The equation you were given was ##0 \le z \le 1 - |x| - |y|##, and that right side is ##1-x-y## only in the first ##xy## quadrant where both ##x## and ##y## are positive. The equation ##1 - |x| - |y| = 0## gives the diamond shape in the ##xy## plane.

So that was my mistake! I was working on my problem for hours and couldn't find out what the problem was because I thought I did it right. The problem are the absolute values, I thought that meant it belonged in the first orthant only. However when I plotted the equation in wolframalpha.com with the absolute values I saw that it is a 4 sides pyramid.

Now I am wondering what the absolute values in ##0 \le z \le 1 - |x| - |y|## mean.

Ray Vickson said:
You can see it is zero without doing any calculations.

An integral ##\int\int\int_R f(x,y,x) \, dV## is really the limit of the sums ##\sum_{i} f(x_i,y_i, z_i) \Delta V## as the number of terms ##i## goes to ##\infty## and the individual box volumes ##\Delta V## go to 0. If we fix the box sides at length ##\delta > 0##, then ##\Delta V = \delta^3.## Now, for any box centered at ##(x_i,y_i,z_i)## in the first orthant, there are three other boxes centered at ##(-x_i, y_i, z_i), (x_i,-y_i,z_i), (-x_i -y_i,z_i).## The contribution of those four boxes to the sum is ##[x_i y_i + (-x_i) y_i + x_i (-y_i) + (-x_i) (-y_i)] \delta^3 = 0.##

This is a different approach that asks a lot of insight. I had to think about it a long time, but I think I understand it.

Thank you for helping!
 
  • #11
Durdum said:
This is a different approach that asks a lot of insight
An almost essential key element is the picture LC showed in #6. From that such insight is almost trivial (certainly if the last line of the problem statement spells it out).
 

Similar threads

  • · Replies 9 ·
Replies
9
Views
3K
  • · Replies 19 ·
Replies
19
Views
3K
  • · Replies 105 ·
4
Replies
105
Views
11K
Replies
6
Views
1K
Replies
4
Views
2K
  • · Replies 2 ·
Replies
2
Views
2K
  • · Replies 4 ·
Replies
4
Views
2K
Replies
11
Views
3K
  • · Replies 14 ·
Replies
14
Views
2K
  • · Replies 9 ·
Replies
9
Views
2K