Taking the square of a formula

  • Thread starter Thread starter Pual Black
  • Start date Start date
  • Tags Tags
    Formula Square
Click For Summary

Homework Help Overview

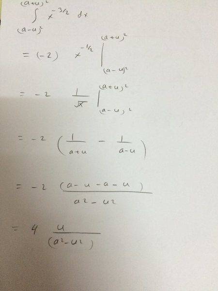
The discussion revolves around the algebraic manipulation of the expression involving squares, specifically whether the equation \(a^2 + u^2 - 2au = (a-u)^2 = (u-a)^2\) holds true. Participants also explore the implications of this expression in the context of integrating the function \(x^{-\frac{3}{2}}\) over specific bounds.

Discussion Character

  • Exploratory, Assumption checking

Approaches and Questions Raised

  • Participants examine the validity of the algebraic expression and its implications for integration. There is a focus on the potential misunderstanding regarding the square root of \((a - u)^2\) and its absolute value interpretation.

Discussion Status

Some participants have provided insights into the algebraic expressions, while others have raised questions about the assumptions made regarding the square root. The discussion appears to be progressing with participants sharing their work and clarifying concepts.

Contextual Notes

There is mention of the original poster's difficulty in using LaTeX due to mobile constraints, which may affect the clarity of the shared work. Additionally, the integration bounds are specified as \((a-u)^2\) to \((a+u)^2\), which may be relevant to the discussion.

Pual Black
Messages
91
Reaction score
1

Homework Statement


Hi sorry if the titel is wrong

I want to know if i can write this

##a^2 + u^2 -2au= (a-u)^2 = (u-a)^2##
I get different results when integrating ##x^{-\frac{3}{2}}## in the range ##(a-u)^2## to ##(a+u)^2##
 
Physics news on Phys.org
Pual Black said:

Homework Statement


Hi sorry if the titel is wrong

I want to know if i can write this

##a^2 + u^2 -2au= (a-u)^2 = (u-a)^2##
Yes, these expressions are all equal.
Pual Black said:
I get different results when integrating ##x^{-\frac{3}{2}}## in the range ##(a-u)^2## to ##(a+u)^2##
It would be helpful to see your work.
 
  • Like
Likes   Reactions: Pual Black
I've uploaded my work as images.
Sorry for not using LaTex but I am on mobile phone.
 

Attachments

  • image.jpeg
    image.jpeg
    19.6 KB · Views: 446
  • image.jpeg
    image.jpeg
    18.4 KB · Views: 445
Pual Black said:
I've uploaded my work as images.
Sorry for not using LaTex but I am on mobile phone.
I think the problem might be from taking the square root of (a - u)2. It's not necessarily equal to a - u. What is true is that ##\sqrt{(a - u)^2} = |a - u|## which in turn is equal to ##|u - a|##.
 
  • Like
Likes   Reactions: Pual Black
Ok i got it.
Thank you for your help
 

Similar threads

  • · Replies 2 ·
Replies
2
Views
1K
  • · Replies 11 ·
Replies
11
Views
3K
  • · Replies 3 ·
Replies
3
Views
4K
Replies
2
Views
1K
Replies
4
Views
2K
  • · Replies 15 ·
Replies
15
Views
2K
  • · Replies 22 ·
Replies
22
Views
3K
  • · Replies 3 ·
Replies
3
Views
2K
  • · Replies 12 ·
Replies
12
Views
2K
  • · Replies 105 ·
4
Replies
105
Views
11K