The Cole-Hopf transformation for Burger equation

  • Thread starter Thread starter docnet
  • Start date Start date
  • Tags Tags
    Transformation
Click For Summary

Homework Help Overview

The discussion revolves around the Cole-Hopf transformation applied to the Burger equation, focusing on the relationship between the transformation variable φ and the original variable u. Participants explore how φ satisfies a partial differential equation (PDE) derived from the Burger equation and the heat equation.

Discussion Character

  • Exploratory, Mathematical reasoning, Assumption checking

Approaches and Questions Raised

  • Participants discuss the substitution of φ into the PDE and the implications of this substitution for solving the Burger equation. There are attempts to simplify the equations, with some expressing confusion about the simplification process. Questions arise regarding the effectiveness of the transformation and the equivalence of the two PDEs.

Discussion Status

The discussion is ongoing, with various participants contributing different insights and approaches. Some guidance has been offered regarding the use of the ansatz for u and its implications for φ. However, there is no explicit consensus on the next steps or resolution of the problem.

Contextual Notes

Participants mention challenges with formatting equations in LaTeX, which may impact the clarity of the discussion. There is also a recognition of the complexity involved in understanding the relationship between the equations being discussed.

docnet
Messages
796
Reaction score
487
Homework Statement
please see below
Relevant Equations
please see below
Screen Shot 2021-01-14 at 9.23.12 PM.png
Attempt at a solution
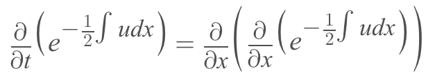
To show φ satisfies our PDE, we first solve the substitution for φ

##\mathrm{ln(\phi) = -\frac {1} {2} \int u dx}##

which gives

##\mathrm{\phi = e^{-\frac {1} {2} \int u dx} }##

and plug it into our PDE, which simplifies to

##\mathrm{\frac {\partial } {\partial t} - \frac {\partial} {\partial x} u } = 0 ##

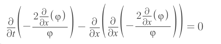
we use the substitution φ to show the following

##\mathrm{\frac {\partial } {\partial t} (\frac {-2 \frac {\partial} {\partial x} \phi} {\phi}) - {\frac {\partial ^2} {\partial x^2} (\frac {-2 \frac {\partial} {\partial x} \phi} {\phi} = 0 ##
Screen Shot 2021-01-14 at 9.26.25 PM.png

so φ solves our PDE. To show u solves the Burger's equation with viscosity, we substitute u into the heat equation and simplify
Screen Shot 2021-01-14 at 9.27.20 PM.png

which is where I am stuck. It seems like this equation does not simplify to anything useful. What I am getting is the following.
Screen Shot 2021-01-14 at 9.27.57 PM.png
 

Attachments

  • Screen Shot 2021-01-14 at 9.24.54 PM.png
    Screen Shot 2021-01-14 at 9.24.54 PM.png
    1.7 KB · Views: 174
  • Screen Shot 2021-01-14 at 9.25.25 PM.png
    Screen Shot 2021-01-14 at 9.25.25 PM.png
    1.2 KB · Views: 202
  • Screen Shot 2021-01-14 at 9.25.52 PM.png
    Screen Shot 2021-01-14 at 9.25.52 PM.png
    2.4 KB · Views: 227
Last edited:
  • Like
Likes   Reactions: Delta2
Physics news on Phys.org
Please type the ##\mathrm{\LaTeX}## instead of just using images ##-## that better enables us to excerpt parts of what you've said when we're responding.
 
sysprog said:
Please type the ##\mathrm{\LaTeX}## instead of just using images ##-## that better enables us to excerpt parts of what you've said when we're responding.
Sorry. I am learning LATEX and cannot make integrals or derivatives.
 
docnet said:
Sorry. I am learning LATEX and cannot make integrals or derivatives.
At the lower left corner just below the reply box there's a link to a good brief guide.
 
docnet said:
Sorry. I am learning LATEX and cannot make integrals or derivatives.
Sorry. I am learning how to type in LATEX and still have yet to learn how to make integrals or derivatives.
Very nice edit. You went from "cannot" to "have yet to learn how to".
Yay!

I am confident that you'll get there soon on typing the ##\mathrm{\LaTeX}## for integrals and derivatives.

Professor Donald Knuth, the creator of ##\TeX##, didn't write The Art of Computer Programming in one day.

https://www-cs-faculty.stanford.edu/~knuth/taocp.html
 
Plug the ansatz: ##u = -1/2\frac{\partial_x \phi(x,t)}{\phi(x,t)}## into Burger's equation and then you should get: the second PDE for ##\phi##.
By this ansatz we can see that these two PDEs are equivalent, so a solution for ##\phi##'s PDE is a solution for Burger's original PDE with ##u##.

We can notice that for ##\phi## that satisfies the Heat equation also satisfies Burger's ##\phi##'s PDE, since ##\phi_{xx}-\phi_t=0##.
 
  • Like
Likes   Reactions: docnet
yikes... I was editing my first post with LATEX code while reading the how-to article. Something must have timed out and we cannot see the equations. I am exhausted hence my quitter talk.. I will return to this problem tomorrow morning after getting some sleep. thanks
 
  • Like
Likes   Reactions: Delta2
MathematicalPhysicist said:
Plug the ansatz: ##u = -1/2\frac{\partial_x \phi(x,t)}{\phi(x,t)}## into Burger's equation and then you should get: the second PDE for ##\phi##.
By this ansatz we can see that these two PDEs are equivalent, so a solution for ##\phi##'s PDE is a solution for Burger's original PDE with ##u##.

We can notice that for ##\phi## that satisfies the Heat equation also satisfies Burger's ##\phi##'s PDE, since ##\phi_{xx}-\phi_t=0##.

Thank you.

So, after stating the two PDEs (##\phi## and Burger's) are equivalent by using pluginology, we re-write the heat equation as ##\phi_{xx}-\phi_t=0## and use pluginology again in the ##\phi## PDE to give ##\partial x (\frac {1} {Φ(t,x)} 0 ) =\partial x (o) = 0##. This shows the solution to the heat equation is a solution to our ##\phi## PDE. I was confusing myself by thinking there is a solution where ##\partial_t \phi(t, x) - \partial^2 _x \phi(t,x) = \phi (t,x)##
 

Similar threads

Replies
5
Views
2K
Replies
5
Views
2K
  • · Replies 3 ·
Replies
3
Views
2K
  • · Replies 4 ·
Replies
4
Views
2K
Replies
10
Views
3K
Replies
4
Views
2K
Replies
4
Views
2K
  • · Replies 1 ·
Replies
1
Views
1K
  • · Replies 105 ·
4
Replies
105
Views
11K
  • · Replies 6 ·
Replies
6
Views
2K