The surface area of an oblate ellipsoid

Click For Summary

Discussion Overview

The discussion revolves around the surface area of an oblate ellipsoid, specifically focusing on the discrepancies between a formula derived by a participant and one presented in a textbook. The scope includes mathematical reasoning and technical exploration of the definitions and calculations involved.

Discussion Character

  • Technical explanation
  • Mathematical reasoning
  • Debate/contested

Main Points Raised

  • One participant expresses difficulty in matching their derived formula for the surface area of an oblate ellipsoid with the result from a textbook, despite using Taylor expansions.
  • Another participant notes that the derived formula works through order zero but does not provide further clarification on the discrepancy.
  • A participant presents their final result for the surface area, which includes terms up to ε^3, and indicates a significant difference from the textbook result.
  • There is a discussion about the absence of a linear term in ε, attributed to the even nature of the function, prompting questions about the definition of R in the first approximation.
  • Clarification is sought regarding the variable c in the participant's formula, with references to a similar formula from a professor that uses b instead of c.
  • One participant suggests verifying the definitions of eccentricities and offers to help if the complete calculations are shared, indicating potential confusion over definitions used in the discussion.

Areas of Agreement / Disagreement

Participants express differing views on the definitions and calculations related to the surface area of the oblate ellipsoid. There is no consensus on the correct formula or the definitions of the variables involved.

Contextual Notes

Participants mention the need for clarity on definitions and the potential for discrepancies due to differing interpretations of variables like c and b. The discussion highlights unresolved mathematical steps and assumptions regarding the eccentricities.

Adams2020
Messages
39
Reaction score
3
TL;DR
How to get the surface area of an oblate ellipsoid in terms of ε?
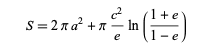
In "An Introduction to Nuclear Physics by W. N. Cottingham, D. A. Greenwood" for the surface area of an oblate ellipsoid, the following equation is written for small values of ε :
An Introduction to Nuclear Physics  -Cambrid.png

The book has said this without proof.
I found the following formula for the desired shape:
2020-11-23 18_53_30-‪Oblate Spheroid -- from Wolfram MathWorld.png

No matter how hard I tried, I could not get the result of the book with this formula. I used Taylor's expansions in the calculation, but unfortunately my result does not match the book. Help me, please!
 
Physics news on Phys.org
What did you get...it certainly works through order zero.
 
hutchphd said:
What did you get...it certainly works through order zero.
My final result is as follows:
4*pi*R^2 (1+ε+ (7/5)ε ^2+ (36/35)ε ^3 +...)
Which has a bad difference with the result of the book.:oldconfused:
 
There is no term linear in ##\epsilon## because the function is even...remember ##\epsilon=\frac c a ##. How did they define R in the first approximation?
 
hutchphd said:
There is no term linear in ##\epsilon## because the function is even...remember ##\epsilon=\frac c a ##. How did they define R in the first approximation?
My data is as follows:
2020-11-23 22_10_42-W. N. Cottingham, D. A. Greenwood - An Introduction to Nuclear Physics  -C...png
 
What then is c in your formula 2??
 
hutchphd said:
What then is c in your formula 2??
A similar formula was stated by our nuclear professor, but with the difference that there was b instead of c. So I thought in this case b = c
2020-11-23 22_39_06-W. N. Cottingham, D. A. Greenwood - An Introduction to Nuclear Physics  -C...png
 
I suggest double checking the definitions eccentricities (see wikipedia) and if you wish to show your complete calculation (all steps) I can perhaps help. Otherwise there are too many mystery definitions...certainly these should agree through order ##\epsilon^2##
 
  • Like
Likes   Reactions: Adams2020
hutchphd said:
I suggest double checking the definitions eccentricities (see wikipedia) and if you wish to show your complete calculation (all steps) I can perhaps help. Otherwise there are too many mystery definitions...certainly these should agree through order ##\epsilon^2##
ok thanks
 

Similar threads

  • · Replies 5 ·
Replies
5
Views
3K
  • · Replies 4 ·
Replies
4
Views
2K
  • · Replies 49 ·
2
Replies
49
Views
6K
  • Poll Poll
  • · Replies 2 ·
Replies
2
Views
6K
  • · Replies 1 ·
Replies
1
Views
5K
  • · Replies 1 ·
Replies
1
Views
2K
  • · Replies 2 ·
Replies
2
Views
3K
  • · Replies 7 ·
Replies
7
Views
4K
  • · Replies 9 ·
Replies
9
Views
5K
  • · Replies 8 ·
Replies
8
Views
4K