Thickness of a cylinder in a compound thin cylinder

Click For Summary

Homework Help Overview

The discussion revolves around the thickness of a cylinder in a compound thin cylinder setup, focusing on the relationship between the inner and outer cylinders, their diameters, and the effects of pressure and thermal expansion. The problem involves understanding the interference between the diameters before shrinkage and how this relates to the material properties and dimensions of the cylinders.

Discussion Character

  • Exploratory, Assumption checking, Conceptual clarification

Approaches and Questions Raised

  • Participants explore the relationship between the changes in diameters of the two cylinders and the interference before shrinkage. There are attempts to clarify the roles of tension and compression in the context of the problem. Questions arise regarding the setup of the cylinders and the assumptions made about their interactions.

Discussion Status

The discussion is ongoing, with participants providing insights into the mechanics of the problem. Some guidance has been offered regarding the relationships between forces and stresses, but there is no consensus on the specific approach to take. Participants are encouraged to think algebraically rather than numerically, and several interpretations of the cylinder arrangement are being explored.

Contextual Notes

There are constraints related to the provided information, such as the lack of a diagram and the specific values for material properties. Participants express uncertainty about the correct equations to use and the implications of the given parameters on the problem.

  • #31
haruspex said:
That will be the reduction in circumference, yes. But as I wrote, it will be more helpful to consider the fractional change.
You are given a certain coefficient E of the material. If there is a certain fractional change in the length of the circumference, what does that tell you about the circumferential compression force?

It tells me that the circumferential compression force is increased thus reducing that circumference. I don't quite understand what you mean by a fractional change?
 
Physics news on Phys.org
  • #32
Fractional change = ( new value - original value ) / ( original value )

I think that @haruspex is trying to steer you towards thinking about the idea of strain . Look it up .
 
  • #33
DevonZA said:
circumferential compression force is increased thus reducing that circumference.
Right, but what is the algebraic relationship? You are given a value for "E". Do you understand that this is the Young's modulus for the material? Do you know how this relates stress to strain?
Nidum said:
Fractional change = ( new value - original value ) / ( original value )
Thanks Nidum.
 
  • #34
haruspex said:
Right, but what is the algebraic relationship? You are given a value for "E". Do you understand that this is the Young's modulus for the material? Do you know how this relates stress to strain?

Thanks Nidum.

E=σ/ε
 
  • #35
DevonZA said:
E=σ/ε
Ok, so express the strain, ε, in terms of ri and R.
Then get an expression for the circumferential stress, σ.
 
  • #36
haruspex said:
Ok, so express the strain, ε, in terms of ri and R.
Then get an expression for the circumferential stress, σ.

Hi Haruspex

sorry for my delayed response.
Please see the answer provided by my lecturer below:

upload_2017-5-4_10-31-51.png

upload_2017-5-4_10-32-13.png

upload_2017-5-4_10-32-28.png
 
  • #38
haruspex said:
Looks like the same approach I was trying to lead you through, just done in a different order.

As long as the answer is correct :)
Thank you for your help.
 
  • #39
If I am too late, sorry. Just working on this question myself now.

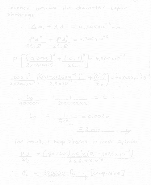
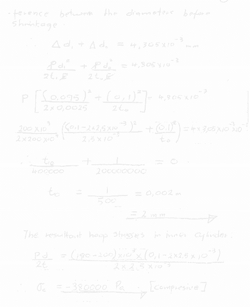
σc=(Pd)/(2t)
the circumferential strain ε=σ/E = (Pd)/(2tE) but εc= (πΔd)/d
diametral strain εd=Δd/d
∴εc=εd the change in diameter = (Pd^2)/(2tE)
The sum of changes in the diameters of the two cylinders is equal to the interference between the diameters before shrinkage.
∴(Pd^2/2tE)inner + (Pd^2/2tE)outer = 4.305x10-3
∴((200x103)(0.0952))/((2(0.0025)(200x109))+((200x103)(0.12))/((2(t)(200x109))=4.305x10-6
1.805x10-6+(5x10-9)/t=2.5x10-6
to=0.002m = 2mm

b) Not sure about this part...
Now consider the inner cylinder:
inner pressure of 180 kPa and radial pressure of 200 kPa from outside
σc=pd/2t = ((180000-200000)(0.095))/(2x0.0025)
= -0.38 MPa

consider outer cylinder:
180 kPa+200kPa
σc=pd/2t = ((180000+200000)(0.1))/(2x0.002)
= 9.5 MPaThe first part I could confirm with answer in my textbook, but the second part I had to trust is correct..
 
  • #40
Ah, I missed the second page of comments with all the answers on...
Well, confirmed my own answers, so thanks!
 
  • Like
Likes   Reactions: DevonZA

Similar threads

  • · Replies 1 ·
Replies
1
Views
2K
  • · Replies 9 ·
Replies
9
Views
4K
  • · Replies 2 ·
Replies
2
Views
9K
Replies
2
Views
19K
  • · Replies 2 ·
Replies
2
Views
5K
  • · Replies 96 ·
4
Replies
96
Views
12K
  • · Replies 3 ·
Replies
3
Views
5K
  • · Replies 1 ·
Replies
1
Views
5K
  • · Replies 1 ·
Replies
1
Views
3K
  • · Replies 7 ·
Replies
7
Views
11K