Today, in our class, we received a trigonometric equation

Click For Summary

Homework Help Overview

The discussion revolves around a trigonometric equation involving powers of sine and cosine, specifically the equation \(\sin^{10}{x}+\cos^{10}{x}=\frac{29}{16}\cos^4{2x}\). Participants are exploring various approaches to analyze and solve this equation.

Discussion Character

  • Mixed

Approaches and Questions Raised

  • Participants are attempting to graph the equation and analyze its roots, particularly focusing on real roots. Some suggest using computer algebra systems for simplification, while others propose rewriting the equation using trigonometric identities to express it in terms of a single variable.

Discussion Status

The discussion is ongoing, with various methods being proposed. Some participants are questioning the clarity of the original attempts, while others are exploring different algebraic manipulations and transformations of the equation. There is no explicit consensus on a single approach yet.

Contextual Notes

Some participants express difficulty in reading handwritten attempts and suggest that the original poster may not have a complete solution. There are also indications that the problem may require extensive algebraic manipulation or the use of computational tools.

Bobs
Messages
14
Reaction score
1
Member has been warned not to delete the template, and to type in his attempt.
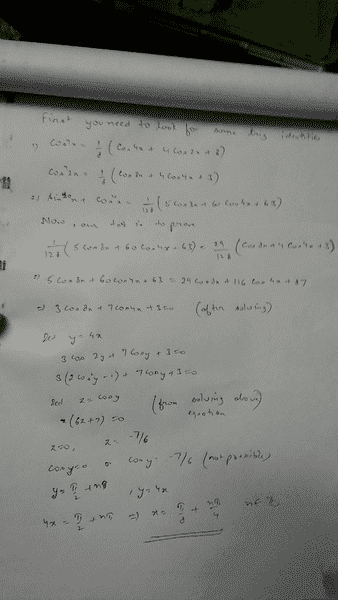
Today,in our class, we received a trigonometric equation
##\sin^{10}{x}+\cos^{10}{x}=\frac{29}{16}\cos^4{2x}##

Here is my attempt:
Pzaegdg.png
 

Attachments

  • Pzaegdg.png
    Pzaegdg.png
    33.1 KB · Views: 1,051
  • Like
Likes   Reactions: Delta2
Physics news on Phys.org
<Moderator's note: Solution removed.>

Here's what it looks like graphed out:

EquationS10C10.png
 

Attachments

  • EquationS10C10.png
    EquationS10C10.png
    22.3 KB · Views: 622
Last edited by a moderator:
  • Like
Likes   Reactions: Delta2
I cannot read a lot of your handwriting, but from what I can read, I suspect you do not have it.
I am assuming you are only looking for the real (non complex) roots.
 
Bobs said:
Today,in our class, we received a trigonometric equation
##\sin^{10}{x}+\cos^{10}{x}=\frac{29}{16}\cos^4{2x}##

Here is my attempt:
View attachment 227423

Here is one way that will work, but be prepared for pages and pages of algebra---or better yet, use a computer algebra package, as I did: I used Maple.

You can use Euler's formulas (see https://en.wikipedia.org/wiki/Euler's_formula) to write
$$\cos(x) = \frac{1}{2} (u + v), \;\; \sin(x) = \frac{1}{2i} (u - v), $$
where
$$u = e^{ix}, \;\; v = e^{-ix} = \frac 1 u.$$
Also, ##\cos(2x) = (1/2)(e^{2ix} + e^{-2ix}) = (1/2)(u^2 + v^2).## That gives your function
$$f(x) = \sin^{10} (x) + \cos^{10} (x) - \frac{29}{16} \cos^4 (2x)$$
as
$$f = -\left( \frac u 2 - \frac v 2 \right)^{10} + \left( \frac u 2 + \frac v 2 \right)^{10}
- \frac{29}{16} \left( \frac{u^2}{2} + \frac{v^2}{2} \right)^4.$$
Expand it all out, set ##v = 1/u##, then simplify. You will get an expression of the form
$$f = -\frac{P(u^4)}{32 u^8}, $$
where ##P(y)## is a 4th degree polynomial in ##y## with positive integer coefficients. Furthermore, ##P(y)## factors into two quadratics with integer coefficients, so the equation ##f(x) = 0## translates into the easily solvable equation ##P(y) = 0##, where ##y = u^4 = e^{4ix}.##
 
Bobs said:
Today,in our class, we received a trigonometric equation
##\sin^{10}{x}+\cos^{10}{x}=\frac{29}{16}\cos^4{2x}##

Here is my attempt:
View attachment 227423
I can not read the picture. What is your solution?
sin10(x) + cos10(x) can be written as (sin2(x))5+(cos2(x))5,
Using the identities ##\sin^2(x)=\frac{1-\cos(2x)}{2}## and ##\cos^2(x)=\frac{1+\cos(2x)}{2}##. the equation has the variable y=cos(2x). Expanding and simplifying, you get a quadratic equation for y2, with very simple solution.
 
  • Like
Likes   Reactions: Tosh5457 and Delta2

Similar threads

  • · Replies 6 ·
Replies
6
Views
3K
  • · Replies 7 ·
Replies
7
Views
3K
  • · Replies 6 ·
Replies
6
Views
2K
  • · Replies 6 ·
Replies
6
Views
2K
  • · Replies 1 ·
Replies
1
Views
2K
  • · Replies 4 ·
Replies
4
Views
2K
  • · Replies 9 ·
Replies
9
Views
3K
Replies
3
Views
2K
Replies
7
Views
2K
Replies
12
Views
2K