Transform formula into another form

Click For Summary

Homework Help Overview

The discussion revolves around transforming a specific formula, indicated by color-coded parts, within the context of calculus and potentially hydraulic applications. Participants are attempting to understand the discrepancies between their workings and the expected results.

Discussion Character

  • Mixed

Approaches and Questions Raised

  • Participants share their attempts at transforming the formula, questioning specific parts of their workings and the original text. Some express confusion over missing elements and potential errors in the formula setup.

Discussion Status

There is an ongoing exploration of the problem with various interpretations being discussed. Some participants have provided insights into possible errors in the original formula, while others are seeking clarification on their own attempts without reaching a consensus.

Contextual Notes

There are indications of missing information and assumptions that may not have been clearly stated. Participants are also considering whether the problem should be categorized under hydraulic formulas or purely mathematical derivation.

fonseh
Messages
521
Reaction score
2

Homework Statement


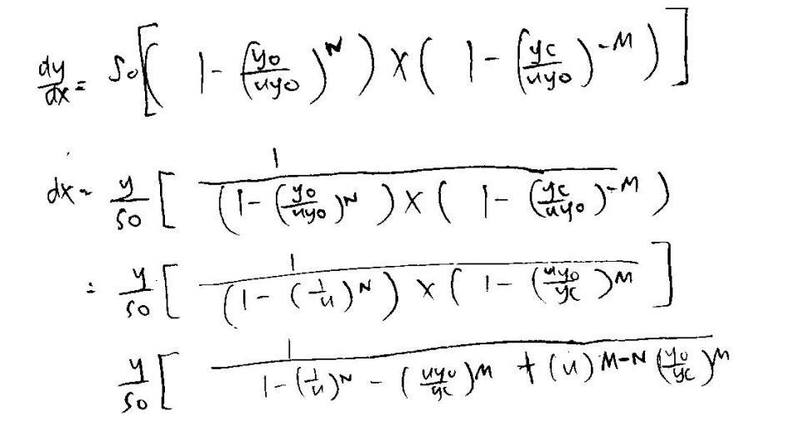
I need help when changing the formula of the yellow circled part to red-circled part ...

Homework Equations

The Attempt at a Solution


I tried , but i didnt get what the author got ... Here's my working ... Which part of my working is wrong ?
 

Attachments

  • 26.JPG
    26.JPG
    45.3 KB · Views: 488
  • 27.jpg
    27.jpg
    28.2 KB · Views: 455
Physics news on Phys.org
Moved to Calculus and Beyond section.
@fonseh, many helpers won't respond if the problem statement and work are shown only in attached images.
 
fonseh said:

Homework Statement


I need help when changing the formula of the yellow circled part to red-circled part ...

Homework Equations

The Attempt at a Solution


I tried , but i didnt get what the author got ... Here's my working ... Which part of my working is wrong ?
I cannot make sense of the text either. It looks quite wrong. Certainly a du has been omitted from the right hand side, and I cannot see how that 1-u term can appear. Perhaps the N exponent is in the wrong place. Maybe some approximation has been made, but that should be stated.
Your own working has y on the right instead of dy (=y0du).
 
  • Like
Likes   Reactions: fonseh
The closest I can get is ##\frac{y_0du}{S_0}[\left(1-\frac {1}{1-u^N}\right)## ##(1-(\frac{y_c}{y_0})^Mu^{-M})^{-1}]##.
If we use the binomial approximation for the last (...)-1 term, we get:
##\frac{y_0du}{S_0}[\left(1-\frac {1}{1-u^N}\right)## ##(1+(\frac{y_c}{y_0})^Mu^{-M})]##.
Multiplying the brackets out produces something quite close to the text. The remaining differences look like typos.
 
  • Like
Likes   Reactions: fonseh
haruspex said:
The closest I can get is ##\frac{y_0du}{S_0}[\left(1-\frac {1}{1-u^N}\right)## ##(1-(\frac{y_c}{y_0})^Mu^{-M})^{-1}]##.
If we use the binomial approximation for the last (...)-1 term, we get:
##\frac{y_0du}{S_0}[\left(1-\frac {1}{1-u^N}\right)## ##(1+(\frac{y_c}{y_0})^Mu^{-M})]##.
Multiplying the brackets out produces something quite close to the text. The remaining differences look like typos.
Can you show your working pls ? I tried it many times , but didnt get the red part , i gt (1-(1/u)^N ) instead
 
This is actually hydraulic formula , should i move it to another thread ? Or this is just purely mathematics derivation ? I'm not sure
 
fonseh said:
This is actually hydraulic formula , should i move it to another thread ? Or this is just purely mathematics derivation ? I'm not sure
It's fine here. The gist of the question is mathematical in nature.
 

Similar threads

Replies
5
Views
2K
Replies
4
Views
3K
  • · Replies 1 ·
Replies
1
Views
1K
  • · Replies 2 ·
Replies
2
Views
1K
  • · Replies 3 ·
Replies
3
Views
2K
Replies
3
Views
3K
  • · Replies 1 ·
Replies
1
Views
2K
  • · Replies 4 ·
Replies
4
Views
2K
Replies
5
Views
3K
  • · Replies 3 ·
Replies
3
Views
2K