Trouble determining the Fourier Cosine series for a Function

Click For Summary

Homework Help Overview

The discussion revolves around determining the Fourier Cosine series for the function g(x) = x(L-x) defined on the interval 0 < x < L. Participants are exploring the calculations and reasoning behind the Fourier coefficients involved in this series.

Discussion Character

  • Mathematical reasoning, Assumption checking

Approaches and Questions Raised

  • The original poster attempts to derive the Fourier Cosine series and presents their calculations for the coefficients a0 and an. They express uncertainty about the form of their answer and explore the implications of the cosine function's behavior at specific values of n.
  • Some participants question the correctness of the integrals and suggest examining the contributions of even and odd n values to the series.
  • There is a mention of trying to manipulate the expression for cos(nπ) and using double angle identities, indicating an exploration of different mathematical approaches.

Discussion Status

Participants are actively engaging with the problem, providing feedback on the original poster's calculations and suggesting areas for further exploration. There is a recognition of the need to consider the behavior of the series at different n values, particularly regarding the contributions from even and odd integers.

Contextual Notes

There is a repeated emphasis on the importance of presenting work clearly, as one participant notes the potential issues with posting images instead of typed work. This highlights a constraint in communication that may affect the discussion's progress.

Arthur Yeh
Messages
2
Reaction score
0

Homework Statement


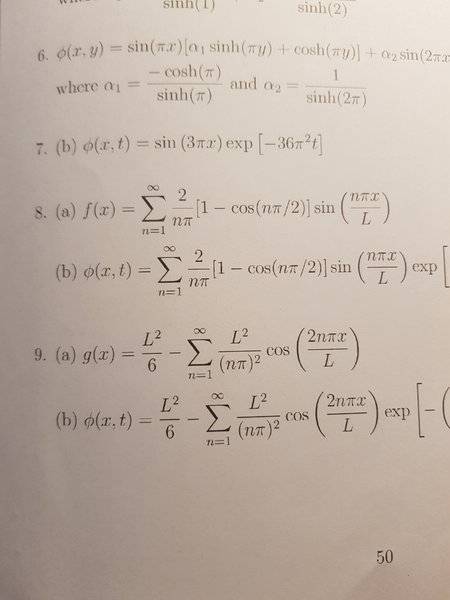
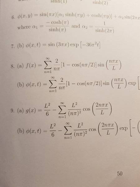
I am only interested in 9 (a)
Determine the Fourier Cosine series of the function g(x) = x(L-x) for 0 < x < L
20180213_160653.jpg

Homework Equations


The Answer for 9 a.
g(x) = (L^2)/6 - ∑(L^2/(nπ)^2)cos(2nπx/L)
20180213_160710.jpg


This is the relevant equation given where ω=π/L
f(t) = a0+∑ancos(nωt)
a0=1/L ∫f(t) dt from 0 to L
an=2/L∫f(t)cos(nωt) dt from 0 to L
20180213_160738.jpg

The Attempt at a Solution


This is my attempt at the solution
g(x) = a0 - Σancos(nωx)
where
a0=L^2/6
an= -2L^2[(cos(nπ)+1)/(nπ)^2]
I have double checked this answer both manually and through the use of an online integral calculator and i still arrive at this conclusion. As a result I believe my partial integrations are correct but my answer is in the wrong form. Initially I tried changing cos(nπ) to (-1)^n but i didnt get anywhere as i didnt couldn't get rid of the n power. I also tried working backwards from the answer using some double angle identities but did not arrive at any recognizable form.
20180213_160424.jpg

20180213_160254.jpg
 

Attachments

  • 20180213_160254.jpg
    20180213_160254.jpg
    30 KB · Views: 828
  • 20180213_160424.jpg
    20180213_160424.jpg
    30.5 KB · Views: 859
  • 20180213_160653.jpg
    20180213_160653.jpg
    20.1 KB · Views: 864
  • 20180213_160710.jpg
    20180213_160710.jpg
    22.3 KB · Views: 1,004
  • 20180213_160254.jpg
    20180213_160254.jpg
    30 KB · Views: 491
  • 20180213_160738.jpg
    20180213_160738.jpg
    18.6 KB · Views: 928
Last edited:
Physics news on Phys.org
Sure... I believe your integrals are correct. If you write out the first few of the a's you should be able to see that every other one goes to zero because cos(n*pi) is minus one and cos(n*pi)-1 is zero. Only the even n's count. For the even n's, let n=2*i. Then you have a sum from i=1,2,3,4...
 
  • Like
Likes   Reactions: Arthur Yeh
I meant to say cos(n*pi)+1 is zero
 
Thanks a lot!
I didnt think to look more closely at its behaviour for odd and even n's
 
Arthur Yeh said:

Homework Statement


I am only interested in 9 (a)
Determine the Fourier Cosine series of the function g(x) = x(L-x) for 0 < x < L
View attachment 220239

Homework Equations


The Answer for 9 a.
g(x) = (L^2)/6 - ∑(L^2/(nπ)^2)cos(2nπx/L)
View attachment 220240

This is the relevant equation given where ω=π/L
f(t) = a0+∑ancos(nωt)
a0=1/L ∫f(t) dt from 0 to L
an=2/L∫f(t)cos(nωt) dt from 0 to L
View attachment 220242

The Attempt at a Solution


This is my attempt at the solution
g(x) = a0 - Σancos(nωx)
where
a0=L^2/6
an= -2L^2[(cos(nπ)+1)/(nπ)^2]
I have double checked this answer both manually and through the use of an online integral calculator and i still arrive at this conclusion. As a result I believe my partial integrations are correct but my answer is in the wrong form. Initially I tried changing cos(nπ) to (-1)^n but i didnt get anywhere as i didnt couldn't get rid of the n power. I also tried working backwards from the answer using some double angle identities but did not arrive at any recognizable form.
View attachment 220238
View attachment 220237

You are developing a very bad habit: posting images instead of typing out your work. Most helpers will not be bothered to look at your images, so will not want to help. (See the post "Guidelines for students and helpers", by Vela, pinned to the start of this forum.)
 

Similar threads

  • · Replies 1 ·
Replies
1
Views
2K
  • · Replies 3 ·
Replies
3
Views
2K
  • · Replies 8 ·
Replies
8
Views
3K
  • · Replies 1 ·
Replies
1
Views
1K
  • · Replies 1 ·
Replies
1
Views
2K
  • · Replies 6 ·
Replies
6
Views
2K
  • · Replies 8 ·
Replies
8
Views
2K
  • · Replies 1 ·
Replies
1
Views
2K
  • · Replies 20 ·
Replies
20
Views
3K
Replies
3
Views
2K