Solving the Fourier cosine series

Click For Summary
SUMMARY

This discussion centers on the necessity of showing all steps when solving Fourier cosine series, particularly the step involving ##\sin(n\pi) = 0##. Participants agree that including this step is crucial for clarity, as omitting it can lead to confusion in understanding the transition between lines. Additionally, the use of a general function notation ##f(x)## instead of the specific function ##x^2## is debated, with the consensus being that using the specific function is preferable for clarity in Fourier series problems.

PREREQUISITES
  • Understanding of Fourier series concepts
  • Familiarity with trigonometric identities, specifically ##\sin(n\pi)##
  • Knowledge of mathematical notation and function representation
  • Basic skills in mathematical problem-solving and notation clarity
NEXT STEPS
  • Study the derivation of Fourier cosine series
  • Learn about the implications of omitting steps in mathematical proofs
  • Explore the use of function notation in mathematical contexts
  • Review common trigonometric identities used in Fourier analysis
USEFUL FOR

Mathematicians, students studying Fourier analysis, educators teaching mathematical notation, and anyone interested in improving clarity in mathematical problem-solving.

chwala
Gold Member
Messages
2,841
Reaction score
428
Homework Statement
Kindly see attached (just need clarification on highlighted part).
Relevant Equations
Fourier cosine series
1672350334369.png


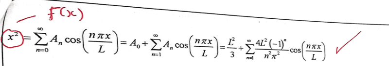
My question is; is showing the highlighted step necessary? given the fact that ##\sin (nπ)=0##? My question is in general i.e when solving such questions do i have to bother with showing the highlighted part...

secondly,

1672350483726.png


Can i have ##f(x)## in place of ##x^2##? Generally, on problems to do with Fourier series- what is usually indicated is ##f(x)##... or it does not matter? yes, i know that ##f(x)=x^2##. My question is in reference to the general widely used notation on such problems.

Cheers.
 
Physics news on Phys.org
chwala said:
My question is; is showing the highlighted step necessary? given the fact that sin⁡(nπ)=0? My question is in general i.e when solving such questions do i have to bother with showing the highlighted part...
Yes, it's necessary, IMO. Otherwise, the transition from the line above the highlighted line to the one below it would be harder to follow. Several people have made comments in some of your threads that it was difficult to follow your work because of omitted steps.
chwala said:
Can i have f(x) in place of ##x^2##?
Why would you want to? Since you're finding the Fourier series of ##x^2##, why hide this fact by calling it f(x)?
 
  • Like
Likes   Reactions: WWGD, SammyS and chwala

Similar threads

  • · Replies 3 ·
Replies
3
Views
2K
  • · Replies 4 ·
Replies
4
Views
3K
  • · Replies 1 ·
Replies
1
Views
2K
Replies
3
Views
2K
  • · Replies 6 ·
Replies
6
Views
2K
Replies
3
Views
2K
  • · Replies 2 ·
Replies
2
Views
3K
  • · Replies 4 ·
Replies
4
Views
2K
  • · Replies 1 ·
Replies
1
Views
2K
  • · Replies 6 ·
Replies
6
Views
2K