fedecolo
- 61
- 1
Homework Statement
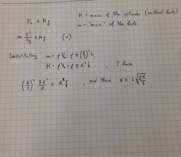
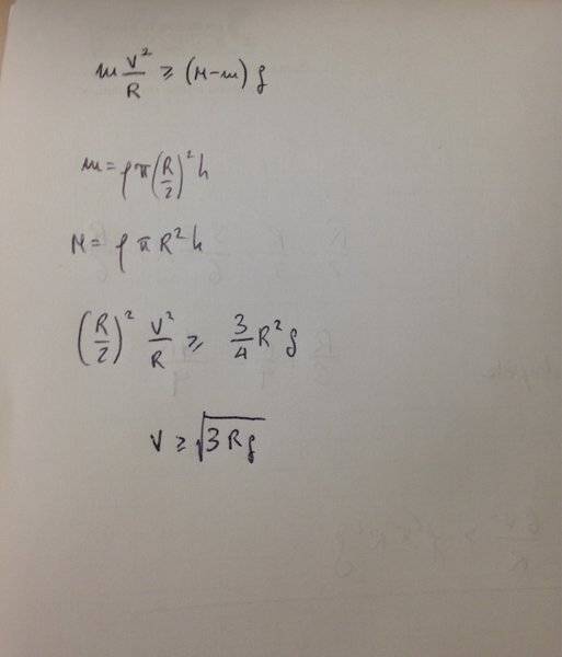
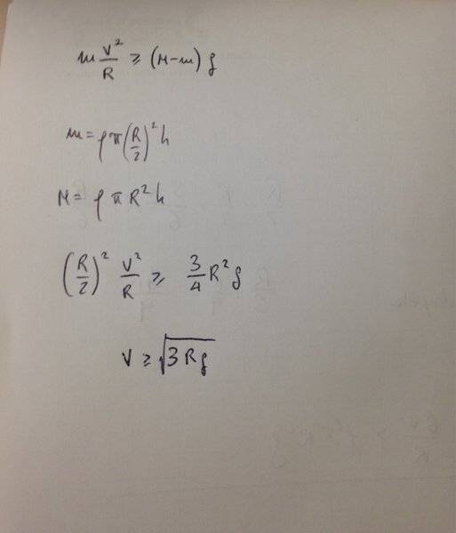
A cart has two cylindrical wheels connected by a weightless horizontal rod using weightless spokes and friction- less axis as shown in the figure. Each of the wheels is made of a homogeneous disc of radius R, and has a cylidrical hole of radius R/2 drilled coaxially at the distance R/3 from the centre of the wheel. The wheels are turned so that the holes point towards each other, and the cart is put into motion on a horizontal floor. What is the critical speed v by which the wheels start jumping?
Answer: ##v=3\sqrt{gR}##
Homework Equations
The Attempt at a Solution
I have no idea where to start! I have to find the centre of mass of each wheel. Then I must find the forces acting on it (only gravitational attraction) and then?
