Understanding Properties of Integrals: How to Simplify an Integral

Click For Summary

Homework Help Overview

The discussion revolves around simplifying a definite integral in the context of multivariable calculus. Participants are exploring properties of integrals, particularly focusing on symmetry and substitution methods.

Discussion Character

  • Exploratory, Mathematical reasoning, Assumption checking

Approaches and Questions Raised

  • Participants discuss the use of the symmetrical property of definite integrals and substitution methods. There are questions about how certain terms emerge from the integral during simplification, particularly regarding the transition from one form of the integral to another.

Discussion Status

Some participants are providing hints and guidance on how to manipulate fractions and common denominators, while others are attempting to clarify their understanding of the steps involved in the simplification process. There is an ongoing exploration of how to express the integral in a standard form.

Contextual Notes

Participants are working with specific integral forms and properties, and there are references to textbook simplifications that are not fully understood. The discussion includes attempts to clarify the algebraic manipulation required for the problem.

Mrencko
Messages
109
Reaction score
0

Homework Statement


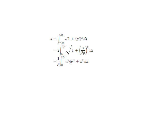
i am studyng, for my multivariable calculus course, and i get this integral, the problem is, i don't know how the simplify the integral that way.

Homework Equations


i will put the integral in a very HD screen shoot, yes a litle one not the entire screen
calculo.png
[/B]

The Attempt at a Solution


i used the symetrical property of definite integrals, and get stuck when i check the simplification they did in the book, i need help to know how to continue, or what property they used. i got the second line OK, then to the thirth line i got stuck
 
Physics news on Phys.org
Mrencko said:
i used the symetrical property of definite integrals, and get stuck when i check the simplification they did in the book, i need help to know how to continue, or what property they used. i got the second line OK, then to the thirth line i got stuck

you can try substitution method.
hint convert it to sqrt(1+z^2) dz and then apply substitution.
 
hi tanks for the answer, but if i do the sustitution how the 1/d ends out of the integral?
 
sorry 1/p
 
Mrencko said:
hi tanks for the answer, but if i do the sustitution how the 1/d ends out of the integral?
do not worry as you are integrating over x.
 
forgot it i have done z=x/2p
dz=1/2p
then... 2(1/2p)=1/p outside
now my doubt is how to make squart 4p2 + x2?
 
ok now i got 1/p∫√(1+z2)dz how i should proceed to make that into this 1/p∫√(4p2+x2)dx
its like somehow, they put the (x/2p)2=x2/4p2 into a sum, but only happens in logaritm properties
 
Mrencko said:
ok now i got 1/p∫√(1+z2)dz how i should proceed to make that into this 1/p∫√(4p2+x2)dx

actually the idea is to get a standard form and then use the results from table of integrals
 
Mrencko said:

Homework Statement


i am studyng, for my multivariable calculus course, and i get this integral, the problem is, i don't know how the simplify the integral that way.

Homework Equations


i will put the integral in a very HD screen shoot, yes a litle one not the entire screenView attachment 98661 [/B]

The Attempt at a Solution


i used the symetrical property of definite integrals, and get stuck when i check the simplification they did in the book, i need help to know how to continue, or what property they used. i got the second line OK, then to the thirth line i got stuck
What happens when you put ##1 + (\frac{x}{2p})^2## over a common denominator? That's the step you're missing: how to add a fraction to a whole number.
 
  • Like
Likes   Reactions: Mrencko
  • #10
Hi, so you mean 2p/2p +(x/2p)^2??
 
  • #11
SteamKing said:
What happens when you put ##1 + (\frac{x}{2p})^2## over a common denominator? That's the step you're missing: how to add a fraction to a whole number.
thanks for reply
 
  • #12
Mrencko said:
Hi, so you mean 2p/2p +(x/2p)^2??
Close, but you want to get the quantity ##(\frac{x}{2p})^2## added to 1.
 
  • Like
Likes   Reactions: Mrencko
  • #13
Well, following your previous hint, a way to add a fraction number, to a whole y should do the following: 1 + x^2/4p^2=(4p^2+x^2)/4p^2
It's ok?
 
  • #14
Mrencko said:
Well, following your previous hint, a way to add a fraction number, to a whole y should do the following: 1 + x^2/4p^2=(4p^2+x^2)/4p^2
It's ok?
That looks OK. You should be able to simplify the original integral as shown.
 
  • #15
Oh my god it was so obvious, many thanks now looks like squareroot((1/4p^2)(4p^2 +x^)
 

Similar threads

  • · Replies 7 ·
Replies
7
Views
2K
Replies
9
Views
2K
  • · Replies 11 ·
Replies
11
Views
2K
Replies
3
Views
2K
Replies
2
Views
1K
  • · Replies 3 ·
Replies
3
Views
2K
  • · Replies 4 ·
Replies
4
Views
2K
  • · Replies 4 ·
Replies
4
Views
2K
Replies
20
Views
2K
Replies
12
Views
5K