Understanding Thermodynamics: Demystifying the Chain Rule for Integration

  • Thread starter Thread starter th3plan
  • Start date Start date
  • Tags Tags
    Integrating
Click For Summary
SUMMARY

This discussion clarifies the application of the chain rule in thermodynamics, specifically in the context of differentiating a function V that depends on another function s, which in turn depends on time t. The chain rule is applied as follows: if V is a function of s and s is a function of t, then the derivative can be expressed as (dV/dt) = (dV/ds)(ds/dt). This is confirmed through the substitution of u = s(t), leading to the expression (V ∘ s)'(t) = V'(u)u' = (dV/du)(du/dt) = (dV/ds)(ds/dt), demonstrating the correct use of the chain rule in this context.

PREREQUISITES
  • Understanding of basic calculus, specifically differentiation
  • Familiarity with the chain rule in calculus
  • Knowledge of functions and their compositions
  • Basic concepts of thermodynamics and its mathematical applications
NEXT STEPS
  • Study the application of the chain rule in multivariable calculus
  • Explore thermodynamic functions and their derivatives
  • Learn about the implications of the chain rule in physical systems
  • Investigate examples of function composition in thermodynamic equations
USEFUL FOR

Students and professionals in physics, particularly those studying thermodynamics, as well as mathematicians and engineers who require a solid understanding of calculus and its applications in physical systems.

th3plan
Messages
93
Reaction score
0
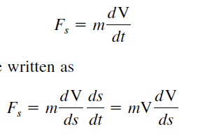
I am reading a thermodynamics book. I am confused on how they say use the chain rule Here. it makes no sense to me how they go from dV/dt to (dV/ds)(ds/dt) . I know how the chain rule works ,just don't know where they got these values
Picture 2.png

 
Physics news on Phys.org
Well they use the chain rule in the normal way here. If V is a function of s and s is a function of t, V(s(t)), then the chain rule tells you that [itex](V \circ s)'(t)=V'(s(t))s'(t)[/itex]. Is that more familiar? This is Identical to [tex]\frac{dV}{ds}\frac{ds}{dt}[/tex]. To display this a bit more clearly let's start with the function V(s(t)). We then use the chain rule by substituting u=s(t). So [tex](V \circ s)'(t)=V'(u)u'=\frac{d V}{d u} \frac{d u}{d t}=\frac{d V}{d s} \frac{d s}{d t}[/tex].
 
Last edited:

Similar threads

Replies
2
Views
2K
Replies
2
Views
2K
  • · Replies 3 ·
Replies
3
Views
6K
  • · Replies 1 ·
Replies
1
Views
2K
  • · Replies 10 ·
Replies
10
Views
2K
  • · Replies 1 ·
Replies
1
Views
2K
  • · Replies 3 ·
Replies
3
Views
2K
Replies
2
Views
3K
  • · Replies 10 ·
Replies
10
Views
2K
  • · Replies 2 ·
Replies
2
Views
2K