Unit tangent vector of r(t) = (e^t)(cos t ) i + (e^t)(sin t

Click For Summary

Homework Help Overview

The discussion revolves around finding the unit tangent vector T(t) for the vector-valued function r(t) = (e^t)(cos t)i + (e^t)(sin t)j + (e^t)k. Participants are exploring the calculations involved in deriving the unit tangent vector and addressing discrepancies in their answers.

Discussion Character

  • Mathematical reasoning, Assumption checking

Approaches and Questions Raised

  • Participants are attempting to compute the derivative r'(t) and its magnitude to find the unit tangent vector. There are questions about the correctness of the calculated magnitude and the resulting unit tangent vector. Some participants express confusion about the differences in their answers compared to others.

Discussion Status

The discussion is ongoing, with participants providing feedback on each other's calculations. Some guidance has been offered regarding the calculation of the magnitude of r'(t), and there is an exploration of different interpretations of the results. However, there is no explicit consensus on the correctness of the answers presented.

Contextual Notes

Participants are working under the constraints of a homework assignment, which may limit the information they can share. There is also an emphasis on ensuring that calculations are shown to support claims about the answers.

chetzread
Messages
798
Reaction score
1

Homework Statement


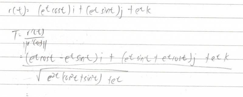
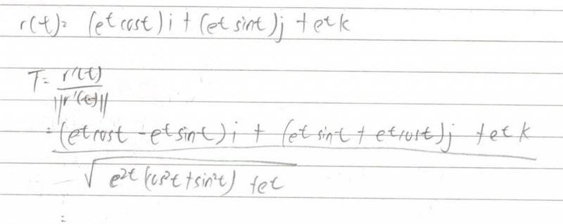
Find the unit tangent vector T(t) for vector valued function r(t) = (e^t)(cos t ) i + (e^t)(sin t ) j + (e^t) k

Homework Equations

The Attempt at a Solution


i gt stucked here ...
, the ans is [1/ sqrt (3) ] [ (cos t -sin t ) i + (sin t + cos t ) j +k) [/B]
 

Attachments

  • 233.jpg
    233.jpg
    18.6 KB · Views: 432
Physics news on Phys.org
chetzread said:

Homework Statement


Find the unit tangent vector T(t) for vector valued function r(t) = (e^t)(cos t ) i + (e^t)(sin t ) j + (e^t) k

Homework Equations

The Attempt at a Solution


i gt stucked here ...
, the ans is [1/ sqrt (3) ] [ (cos t -sin t ) i + (sin t + cos t ) j +k) [/B]

You got ##r'(t)## okay, but you didn't calculate its magnitude correctly. I would factor out the ##e^t## term first. Then you need to take more care with your algebra.
 
PeroK said:
You got ##r'(t)## okay, but you didn't calculate its magnitude correctly. I would factor out the ##e^t## term first. Then you need to take more care with your algebra.
My ans is [1/ sqrt (2) ] [ (cos t -sin t ) i + (sin t + cos t ) j +k)
But not
[1/ sqrt (3) ] [ (cos t -sin t ) i + (sin t + cos t )
j +k)


Is the given ans wrong ?
 
chetzread said:
My ans is [1/ sqrt (2) ] [ (cos t -sin t ) i + (sin t + cos t ) j +k)
But not
[1/ sqrt (3) ] [ (cos t -sin t ) i + (sin t + cos t )
j +k)


Is the given ans wrong ?
No, your answer is wrong. I get the same answer that you showed in post #1.
Please show your work for |r'(t)|.
 

Similar threads

  • · Replies 8 ·
Replies
8
Views
2K
  • · Replies 2 ·
Replies
2
Views
4K
Replies
8
Views
2K
  • · Replies 2 ·
Replies
2
Views
4K
  • · Replies 2 ·
Replies
2
Views
2K
  • · Replies 5 ·
Replies
5
Views
2K
  • · Replies 22 ·
Replies
22
Views
7K
  • · Replies 1 ·
Replies
1
Views
2K
  • · Replies 24 ·
Replies
24
Views
5K
  • · Replies 1 ·
Replies
1
Views
1K