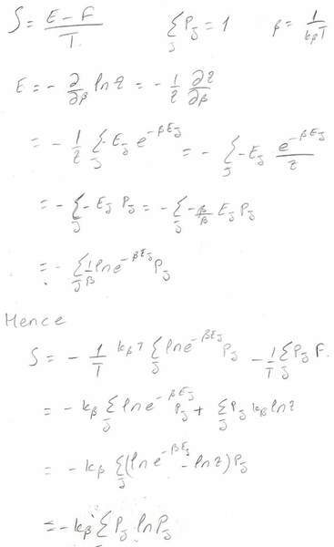
Using the partition function find the entropy

ber70
Messages
47
Reaction score
0
Question is on attachment file.
 

Attachments

  • 1.JPG
    1.JPG
    12.9 KB · Views: 641
Physics news on Phys.org
I solved it.
 

Attachments

  • Solution.jpg
    Solution.jpg
    11.8 KB · Views: 634

Similar threads

  • · Replies 1 ·
Replies
1
Views
2K
  • · Replies 1 ·
Replies
1
Views
2K
  • · Replies 9 ·
Replies
9
Views
6K
  • · Replies 1 ·
Replies
1
Views
2K
  • · Replies 5 ·
Replies
5
Views
2K
  • · Replies 1 ·
Replies
1
Views
2K
  • · Replies 1 ·
Replies
1
Views
2K
  • · Replies 3 ·
Replies
3
Views
2K
  • · Replies 2 ·
Replies
2
Views
3K
  • · Replies 1 ·
Replies
1
Views
3K