Vector Rotation: How to Rotate a Vector by 90 Degrees using a Rotation Matrix

  • Thread starter Thread starter _Andreas
  • Start date Start date
  • Tags Tags
    Rotation Vector
Click For Summary

Homework Help Overview

The discussion revolves around the rotation of a vector in a two-dimensional space using a rotation matrix, specifically focusing on achieving a 90-degree counterclockwise rotation.

Discussion Character

  • Exploratory, Assumption checking

Approaches and Questions Raised

  • Participants discuss the original poster's attempt to rotate a vector and question the correctness of the resulting direction of rotation. There is mention of a potential misunderstanding regarding the transformation matrix used for the rotation.

Discussion Status

Some participants have provided hints and observations regarding the calculations and the drawn representation of the rotated vector. There is an acknowledgment of a discrepancy between the calculated and drawn vectors, indicating a productive exploration of the problem.

Contextual Notes

The original poster expresses confusion about achieving the desired counterclockwise rotation, suggesting that there may be assumptions or misunderstandings about the rotation matrix or its application.

_Andreas
Messages
141
Reaction score
1

Homework Statement



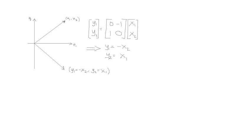
Rotate a vector v=x_1e_1+x_2e_2 90 degrees by using the rotation matrix.

The Attempt at a Solution



As you can see in the attached image, I get a 90 degree clockwise rotation. I'm supposed to get a 90 degree counterclockwise rotation. Where do I go wrong?
 

Attachments

  • Rotationsmatris.jpg
    Rotationsmatris.jpg
    5.7 KB · Views: 437
Physics news on Phys.org
Hi _Andreas! :smile:
_Andreas said:
Rotate a vector v=x_1e_1+x_2e_2 90 degrees by using the rotation matrix.

As you can see in the attached image, I get a 90 degree clockwise rotation. I'm supposed to get a 90 degree counterclockwise rotation. Where do I go wrong?

erm … not enough sleep? :redface:

Hint: try multiplying by -1 :smile:
 
What you've drawn for your rotated vector is [itex]x_1 \hat{e_1} - x_2 \hat{e_2}[/itex]; which is not the same as what you calculated using the transformation matrix: [tex]\vec{y}=\begin{pmatrix} -x_2 \\ x_1 \end{pmatrix}=-x_2 \hat{e_1} + x_1 \hat{e_2}[/tex]
 
gabbagabbahey said:
What you've drawn for your rotated vector is [itex]x_1 \hat{e_1} - x_2 \hat{e_2}[/itex]; which is not the same as what you calculated using the transformation matrix: [tex]\vec{y}=\begin{pmatrix} -x_2 \\ x_1 \end{pmatrix}=-x_2 \hat{e_1} + x_1 \hat{e_2}[/tex]

Thanks! I did suspect that this was the case, but I wasn't sure.
 

Similar threads

  • · Replies 10 ·
Replies
10
Views
2K
  • · Replies 5 ·
Replies
5
Views
2K
Replies
3
Views
2K
  • · Replies 2 ·
Replies
2
Views
1K
  • · Replies 31 ·
2
Replies
31
Views
3K
  • · Replies 16 ·
Replies
16
Views
5K
  • · Replies 1 ·
Replies
1
Views
2K
  • · Replies 4 ·
Replies
4
Views
2K
  • · Replies 47 ·
2
Replies
47
Views
5K
Replies
2
Views
4K