Vertical Spring System (Lagrangian)

Click For Summary
SUMMARY

The discussion focuses on deriving the equations of motion for a vertical spring system using the Lagrangian method. The poster, @andris0110, encounters issues with the equations, particularly the third one, which appears incorrect. Key problems identified include unclear parameter definitions, potential confusion in variable usage, and the need for proper formatting of equations using LaTeX. The discussion emphasizes the importance of clarity and precision in formulating physics problems.

PREREQUISITES
  • Understanding of Lagrangian mechanics
  • Familiarity with LaTeX for formatting equations
  • Knowledge of rotational motion and moment of inertia
  • Basic principles of potential and kinetic energy in mechanical systems
NEXT STEPS
  • Review Lagrangian mechanics and its application to multi-body systems
  • Learn how to use LaTeX for mathematical formatting
  • Study the principles of rotational dynamics and moment of inertia
  • Explore potential and kinetic energy equations in mechanical systems
USEFUL FOR

Students and educators in physics, particularly those studying mechanics, as well as anyone involved in formulating and solving complex mechanical systems using the Lagrangian approach.

andris0110
Messages
1
Reaction score
0
Homework Statement
The problem states that for the vertical spring system below we give boundary conditions to the y positions of m1 and m2, so considering this I have to work out the equations of motion. The ring on the top is supposed to be moving only vertically.
Relevant Equations
Lagrange equations of motion
I am trying to solve this and get the equations of motion using the Lagrangian method.
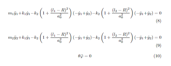
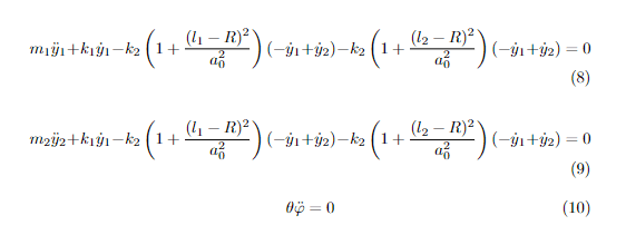
I could do all the steps but the equations (especially the third one) seems..weird.
What am I doing wrong? Sorry if the equations aren't in their simplest form, they are pulled straight from Wolfram Mathematica.
I tried to explain my work in a little more detail below:
1_1.PNG


1_2.PNG

2.PNG


Thanks for the help in advance!
 
Physics news on Phys.org
andris0110 said:
Homework Statement:: The problem states that for the vertical spring system below we give boundary conditions to the y positions of m1 and m2, so considering this I have to work out the equations of motion. The ring on the top is supposed to be moving only vertically.
Relevant Equations:: Lagrange equations of motion

I am trying to solve this and get the equations of motion using the Lagrangian method.
I could do all the steps but the equations (especially the third one) seems..weird.
What am I doing wrong? Sorry if the equations aren't in their simplest form, they are pulled straight from Wolfram Mathematica.
I tried to explain my work in a little more detail below:
View attachment 316474

View attachment 316475
View attachment 316471

Thanks for the help in advance!
Hi @andris0110. Welcome to PF. Since no one has yet replied, here are a few comments.

If you haven’t yet read the guidelines for posting, it’s worth doing so: https://www.physicsforums.com/threads/homework-help-guidelines-for-students-and-helpers.686781/

There are some problems with what you have posted. Here are the first few I spotted before I gave up!

1. The original (complete/word-for-word-exact) question is missing. You have expressed the question in your own words. This may be OK but sometimes (often!) posters’ descriptions are incomplete and/or misinterpret the original question.

2. You say “the ring … is supposed to be moving only vertically”. But the ring appears to have the freedom to rotate about a horizontal axis through its centre while oscillating vertically. I’m guessing rotational motion is allowed and ##\theta## or ##\phi## is the angle of rotation.

3. The meanings of some parameters are unclear, e.g. ## \theta, \alpha_1 \alpha_2##. They should be shown on the diagram. (We can guess, but sometimes we'll guess wrongly.)

4. Are you using ‘x’ for both horizontal and vertical distances [Edit - and spring extension!]? That would be a dreadful source of confusion! Your potential energy equation (equation 6) seems to use ##x_1## and ##x_2## for the gravitational potential energy!

5. The kinetic energy term at the end of equation 5 appears to relate to rotational motion. But it makes no sense - it is dimensionally incorrect and doesn’t include the moment of inertia of the ring.

6. Rather than Wolfram Mathematica, you should formulate the various equations for yourself and include them in your posts. You should use LaTeX to format the equations here so we can read them easily. (You’ll get more replies/help if you create easy-to-read posts.) Here's the quick guide to LaTeX: https://www.physicsforums.com/help/latexhelp/. (This link is also below the bottom left corner of the edit window.)

I suggest taking a big step back. Your best bet might be to post a revised question/attempt with the above points addressed.

Edits: typo's corrected.
 
Last edited:
  • Like
Likes   Reactions: PhDeezNutz, topsquark, TSny and 2 others

Similar threads

  • · Replies 15 ·
Replies
15
Views
3K
Replies
5
Views
2K
  • · Replies 2 ·
Replies
2
Views
2K
  • · Replies 6 ·
Replies
6
Views
2K
  • · Replies 2 ·
Replies
2
Views
2K
  • · Replies 1 ·
Replies
1
Views
2K
Replies
6
Views
4K
  • · Replies 3 ·
Replies
3
Views
2K
Replies
25
Views
4K
  • · Replies 2 ·
Replies
2
Views
2K