Well insulated tank with valve entropy problem

Click For Summary

Discussion Overview

The discussion revolves around a thermodynamics problem involving a well-insulated tank divided into two equal volumes, where one side is initially filled with air at a specific temperature and pressure, and the other side is empty. Participants explore the behavior of the system as gas transfers from one side to the other through a valve, focusing on pressure changes and entropy calculations during the process.

Discussion Character

  • Homework-related
  • Technical explanation
  • Mathematical reasoning
  • Exploratory

Main Points Raised

  • Some participants note that the process is isenthalpic, suggesting that enthalpy remains constant as gas moves from one partition to another.
  • There is a discussion about the final pressure in the second tank, with some participants proposing it will reach 1 bar as equilibrium is established.
  • Participants express confusion regarding the 5% increments of gas transfer, with clarification that it refers to mass rather than time.
  • One participant proposes using the equation for entropy change, ΔS=∫(Cp/T)dT-Rln(P2/P1), and notes that since temperature remains constant, the first term becomes zero, simplifying the equation to ΔS=-Rln(P2/P1).
  • There is a mention of using the ideal gas law to determine pressures in both chambers as gas is transferred, emphasizing that the volumes remain equal.
  • Some participants discuss the need to quantitatively address the entropy change as a function of the initial pressure in chamber #1, indicating a need for further calculations.

Areas of Agreement / Disagreement

Participants generally agree on the isenthalpic nature of the process and the use of the ideal gas law, but there are differing interpretations regarding the specifics of the entropy change calculations and the implications of the 5% mass transfer increments. The discussion remains unresolved on some aspects, particularly regarding the exact calculations for entropy and pressure changes.

Contextual Notes

Participants highlight the importance of considering heat transfer between the two chambers and the change in internal energy, which may not have been fully addressed in earlier posts. There is also an acknowledgment that the process involves spontaneous entropy generation within the system.

Who May Find This Useful

This discussion may be useful for students and professionals interested in thermodynamics, particularly those studying gas behavior in insulated systems and entropy calculations in non-equilibrium processes.

HethensEnd25
Messages
27
Reaction score
0

Homework Statement


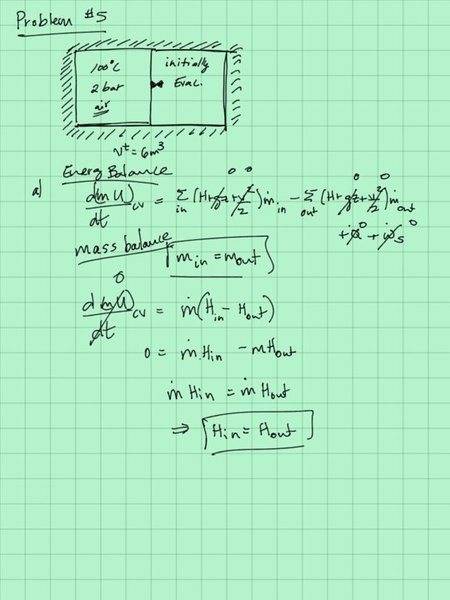
A well-insulated tank of volume 6 m3 is divided into two equal volumes. The left part is initially filled with air at 100 C and 2 bar, and right side cell is initially empty. A valve connecting two cells will be opened so that gas will slowly pass from cell 1 to cell 2. The wall connecting the two cells conducts heat sufficiently well that the temperature of gas in both cells will always be the same. Plot on the same graph a) the pressure in the second tank versus the pressure in the first tank, and b) the change in the total entropy of the system versus pressure in the tank 1. Do these calculations with the increments of 5% of the gas transferred until all gas is transferred to tank 2. At these temperatures and pressures air can be considered as an ideal gas with constant heat capacity. Before plotting the total entropy change what do you think final pressure will be? Also will the temperature change? Since entropy increases for any natural process, what do you think entropy will be at the equilibrium pressure (minimum or maximum)?

Homework Equations


PV=nRT
entropy Balance

The Attempt at a Solution


I know that for a valve it is isenthalpic so the enthalpy that that goes from partition1 into partition2 will be the same. I also know that the second pressure or the maximum amount of pressure that would be released into partition2 would be 1 bar as it would have to find equilibrium with that of the pressure coming from partition1 at some point. I know the final temperature would be the same again because it is isenthalpic and "well insulated".

I just am confused on how they want me to approach this problem. It says to do the increments in 5% of the gas transferred. Are they referring to the mols ? And what about the entropy wouldn't it continuously increase seeing that this partition is being filled?here is my attached attempt at a solution.

ThermoHW7_12.jpg
ThermoHW7_11.jpg
ThermoHW7_13.jpg


Best Regards,

D
 
Last edited:
Physics news on Phys.org
HethensEnd25 said:

Homework Statement


A well-insulated tank of volume 6 m3 is divided into two equal volumes. The left part is initially filled with air at 100 C and 2 bar, and right side cell is initially empty. A valve connecting two cells will be opened so that gas will slowly pass from cell 1 to cell 2. The wall connecting the two cells conducts heat sufficiently well that the temperature of gas in both cells will always be the same. Plot on the same graph a) the pressure in the second tank versus the pressure in the first tank, and b) the change in the total entropy of the system versus pressure in the tank 1. Do these calculations with the increments of 5% of the gas transferred until all gas is transferred to tank 2. At these temperatures and pressures air can be considered as an ideal gas with constant heat capacity. Before plotting the total entropy change what do you think final pressure will be? Also will the temperature change? Since entropy increases for any natural process, what do you think entropy will be at the equilibrium pressure (minimum or maximum)?

Homework Equations


PV=nRT
entropy Balance

The Attempt at a Solution


I know that for a valve it is isenthalpic so the enthalpy that that goes from partition1 into partition2 will be the same. I also know that the second pressure or the maximum amount of pressure that would be released into partition2 would be 1 bar as it would have to find equilibrium with that of the pressure coming from partition1 at some point. I know the final temperature would be the same again because it is isenthalpic and "well insulated".
I think you meant constant internal energy, rather than isenthalpic (although, in this case, because the internal energy is constant, the enthalpy is also constant).
I just am confused on how they want me to approach this problem. It says to do the increments in 5% of the gas transferred. Are they referring to the mols ?
Yes.
And what about the entropy wouldn't it continuously increase seeing that this partition is being filled?
Entropy would increase from the initial state to the final state because, for this spontaneous process, entropy is being generated within the system, while no entropy exchange is taking place with the surroundings.

here is my attached attempt at a solution.

View attachment 128966 View attachment 128967 View attachment 128968

Best Regards,

D
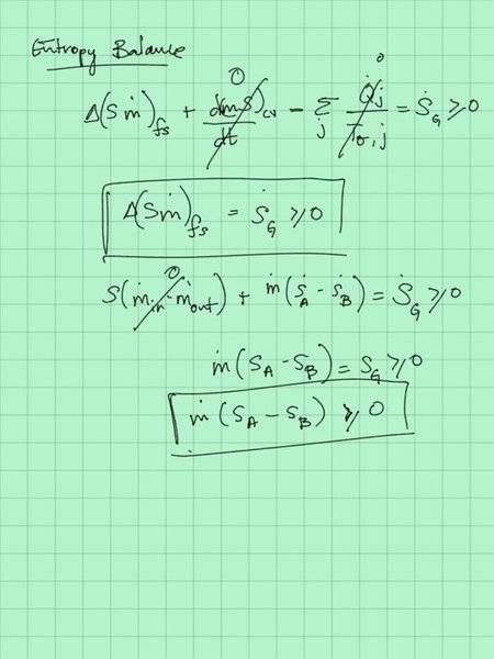
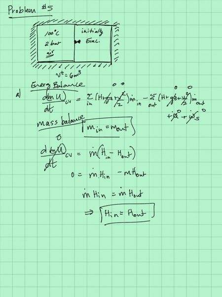
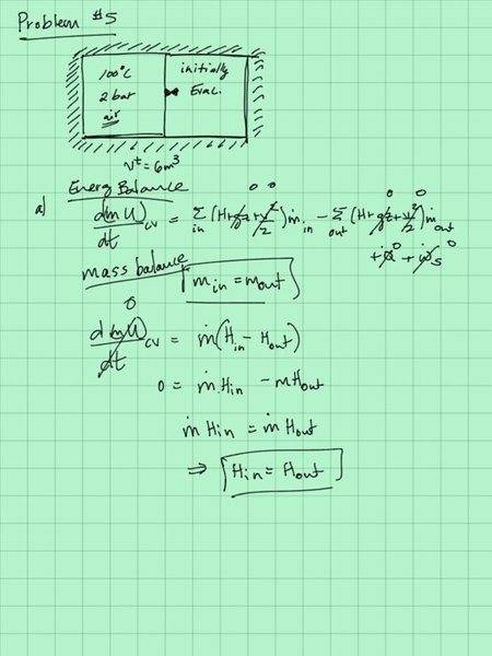
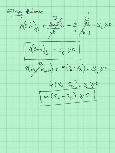
On the first sheet, you are supposed to assume 5% increments in mass, not increments in time. And you are supposed to plot the pressure in each chamber as a function of the percentage mass transferred.

On the second sheet, you did not allow for the heat transfer between the two chambers or for the change in internal energy within each chamber. To do part (a) correctly, you know the number of moles in each chamber as the process progresses, and you know that the temperature in both chambers is equal to the initial temperature. So you can use the ideal gas law to determine the pressure in each chamber as a function of the number of moles transferred.

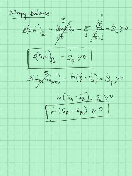
The third sheet does not quantitatively address part (b). You need to determine the entropy change as a function of the initial pressure in chamber #1. You know the initial state of the gas, and you know the final state (half the initial pressure, double the initial volume, at the same temperature as initially). Do you know how to determine the entropy change of an ideal gas quantitatively from this initial state to this final state?
 
Chestermiller said:
The third sheet does not quantitatively address part (b). You need to determine the entropy change as a function of the initial pressure in chamber #1. You know the initial state of the gas, and you know the final state (half the initial pressure, double the initial volume, at the same temperature as initially). Do you know how to determine the entropy change of an ideal gas quantitatively from this initial state to this final state?

First I'd like to thank you for your clarification and detailed response to the problem.

To answer your question if I know how to determine the entropy from initial state to final state.

I am pretty sure I would use the equation

ΔS=∫(Cp/T)dT-Rln(P2/P1)

I know that since the process doesn't have a change in temperature that my ∫(Cp/T)dT will zero out and I will be left with

ΔS=-Rln(P2/P1)

I know that since my moles being transferred is the only thing changing.and that the volumes of both partitions are the same. So I believe V1=V2 since the second partition is just being filled. So I can have

PV=nRT Solving for the quantities mols then multiply by 5% to find the increments of transfer.

I also know that V1=V2 so my PV=nRT==>( PV/n)=RT=Constant since temperature is not changing

becomes P1/n1=P2/n2

This will give me my increments of pressure.
 
HethensEnd25 said:
First I'd like to thank you for your clarification and detailed response to the problem.

To answer your question if I know how to determine the entropy from initial state to final state.

I am pretty sure I would use the equation

ΔS=∫(Cp/T)dT-Rln(P2/P1)

I know that since the process doesn't have a change in temperature that my ∫(Cp/T)dT will zero out and I will be left with

ΔS=-Rln(P2/P1)

I know that since my moles being transferred is the only thing changing.and that the volumes of both partitions are the same. So I believe V1=V2 since the second partition is just being filled. So I can have

PV=nRT Solving for the quantities mols then multiply by 5% to find the increments of transfer.

I also know that V1=V2 so my PV=nRT==>( PV/n)=RT=Constant since temperature is not changing

becomes P1/n1=P2/n2

This will give me my increments of pressure.
Looks good.
 
  • Like
Likes   Reactions: HethensEnd25

Similar threads

  • · Replies 8 ·
Replies
8
Views
2K
  • · Replies 14 ·
Replies
14
Views
3K
  • · Replies 4 ·
Replies
4
Views
4K
  • · Replies 9 ·
Replies
9
Views
11K
  • · Replies 109 ·
4
Replies
109
Views
10K
  • · Replies 11 ·
Replies
11
Views
3K
  • · Replies 1 ·
Replies
1
Views
2K
  • · Replies 3 ·
Replies
3
Views
2K
  • · Replies 3 ·
Replies
3
Views
4K
  • · Replies 1 ·
Replies
1
Views
5K