What Are the Key Concepts in Double Integral Theory?

Click For Summary

Homework Help Overview

The discussion revolves around the concept of double integration, particularly focusing on the conditions under which the lower and upper sums are equal. Participants are exploring the implications of this equality in the context of continuous functions and the geometric interpretation of the integral as a volume under a surface defined by a function over a rectangular region.

Discussion Character

  • Exploratory, Conceptual clarification, Assumption checking

Approaches and Questions Raised

  • Participants are attempting to visualize the relationship between the function, its partition, and the bounds of integration. Questions arise about the nature of the partition being a point and how this relates to the function's values across the region. There is also exploration of the concept of continuity and how it affects the interpretation of the integral.

Discussion Status

The discussion is active, with participants providing insights and questioning each other's interpretations. Some have suggested visualizing the function as a surface above a plane, while others are exploring the implications of equal lower and upper sums. There is no explicit consensus yet, but various interpretations and visualizations are being explored.

Contextual Notes

Participants are grappling with the definitions and implications of continuity in the context of double integrals, as well as the geometric interpretations of the areas involved. There are references to specific examples and equations that are being discussed, but no complete solutions have been provided.

DryRun
Gold Member
Messages
837
Reaction score
4

Homework Statement


There are 2 questions which deal with the concept of double integration. I think there's no need for any calculations, which might have been easier, in my opinion.

1.
17065403b9de27dd0ea4066795f78d4e705f33c0.png


2.
http://img2.uploadhouse.com/fileuploads/17065/170654043ae9d827241bff097ca2ee9760242ef0.png

Homework Equations



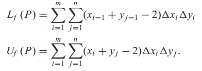
$$L_f(P)\leq I\leq U_f(P)$$
Example, for f(x,y)=x+y-2
1705331137368ef375f83d511e0553a6bbe9ab03.png


The Attempt at a Solution



1. Given the condition that ##L_f(P) = U_f(P)##, i would say that the partition P of R, would need to be a point. Therefore, since R is a rectangle, i would say that f is a simple line (straight or curved) on that rectangle? Or is f just a point on that rectangle? I'm not sure how to visualize this problem. Is there a trick to understand this?2. I'm not sure i even understand the first part about the original f being continuous. I try to imagine the original f as being a piece of string and the shape is irregular, as for the boundary of Ω. Then, stretch that irregular shape to fit into the rectangular shape, R. Is that a correct assumption? Do i need to consider this in terms of 3D?
 
Last edited:
Physics news on Phys.org
sharks said:
1. Given the condition that ##L_f(P) = U_f(P)##, i would say that the partition P of R, would need to be a point.
How can a partition be a point? I suspect you do not have the right mental image for f, P, Lf(P) etc. here.
f is a real function on R. For each point of R, f takes a value at that point. If you think of R as being in the horizontal plane, you can think of the value of f at (x,y) as a height above it (could be negative). So f defines a surface in 3 dimensions. The integral of f over R can then be thought of as the volume below the surface and above the plane of R (counting volume as negative where f is negative).
In 2D, P cuts R into a grid of rectangles. Lf(P) puts a lower bound on the integral of f over R by taking the lowest value of f in each little rectangle of P and taking that to be the value of the whole minirectangle. Likewise Uf(P) gives an upper bound by taking the highest value within each minirectangle. If one is a lower bound and the other is an upper bond (as in the equation you quote in the OP), and they turn out to be equal, what can you say about the actual integral?

What do you know about continuous functions?
 
sharks said:

Homework Statement



http://img2.uploadhouse.com/fileuploads/17065/170654043ae9d827241bff097ca2ee9760242ef0.png

Homework Equations



The Attempt at a Solution




2. I'm not sure i even understand the first part about the original f being continuous. I try to imagine the original f as being a piece of string and the shape is irregular, as for the boundary of Ω. Then, stretch that irregular shape to fit into the rectangular shape, R. Is that a correct assumption? Do i need to consider this in terms of 3D?

A function on a rectangle wouldn't be like "a piece of string". To give you something to hang your hat on, think of that rectangle as a thin metal plate and suppose f(x,y) is the temperature at the point (x,y). Try thinking in those terms to visualize the problem.
 
haruspex said:
How can a partition be a point? I suspect you do not have the right mental image for f, P, Lf(P) etc. here.
f is a real function on R. For each point of R, f takes a value at that point. If you think of R as being in the horizontal plane, you can think of the value of f at (x,y) as a height above it (could be negative). So f defines a surface in 3 dimensions. The integral of f over R can then be thought of as the volume below the surface and above the plane of R (counting volume as negative where f is negative).
In 2D, P cuts R into a grid of rectangles. Lf(P) puts a lower bound on the integral of f over R by taking the lowest value of f in each little rectangle of P and taking that to be the value of the whole minirectangle. Likewise Uf(P) gives an upper bound by taking the highest value within each minirectangle. If one is a lower bound and the other is an upper bond (as in the equation you quote in the OP), and they turn out to be equal, what can you say about the actual integral?

What do you know about continuous functions?

Here's a graph from an example in my notes about what I've been learning prior to this problem.
http://img7.uploadhouse.com/fileuploads/17065/17065920ebf1b9a31c61b0d1c095bf3235424224.png

In my notes, ##L_f(P)\leq I\leq U_f(P)## where ##I## has a unique value. But given the condition that ##L_f(P) = U_f(P)##, then it would have to mean that the area of a particular mini-rectangle's corner closest to the origin is exactly equal to the area of that same mini-rectangle's furthest corner from the origin. In conclusion, that would mean that ##L_f(P) = U_f(P) = I##, where ##I=\iint f(x,y)\,.dxdy##. Since the area is the same, in my opinion, it has to be a point. How else can the area of a mini-rectangle be exactly the same for two points positioned diagonally across it? Taking an example from the graph above: If points (1, 1) and (2, 3/2) were to yield the same area for R11, then it would have to mean that both points have the same coordinates. Obviously, in this example, it's not possible as the coordinates are different due to R11 being a rectangle, hence the areas are different for ##L_f(P)## and ##U_f(P)##.

LCKurtz said:
A function on a rectangle wouldn't be like "a piece of string". To give you something to hang your hat on, think of that rectangle as a thin metal plate and suppose f(x,y) is the temperature at the point (x,y). Try thinking in those terms to visualize the problem.
So, the temperature at each point on that thin metal plate would have to be different, but not necessarily. Is that a correct interpretation of the problem? In that case, i guess this is the answer?

What about another way of visualizing the problem: The region Ω has a certain amount of fluid on it. The boundaries are removed and the fluid is allowed to spill out into the region R.

But i don't understand how that change of area would possibly affect the continuity of the extended f only at the boundary. It should not be limited only to the boundary but to all points in R.
 
Last edited:
sharks said:
it would have to mean that the area of a particular mini-rectangle's corner closest to the origin is exactly equal to the area of that same mini-rectangle's furthest corner from the origin.
No, it would mean that in each minirectangle the lowest value of f in it = highest value of f in it. I.e., f is constant within each minirectangle.
In conclusion, that would mean that ##L_f(P) = U_f(P) = I##,
Yes.
Since the area is the same, in my opinion, it has to be a point. How else can the area of a mini-rectangle be exactly the same for two points positioned diagonally across it? Taking an example from the graph above: If points (1, 1) and (2, 3/2) were to yield the same area for R11, then it would have to mean that both points have the same coordinates.
How does a point 'yield an area'? A given mini-rectangle has an area.
 
haruspex said:
No, it would mean that in each minirectangle the lowest value of f in it = highest value of f in it. I.e., f is constant within each minirectangle.
I can't understand how ##L_f(P) = U_f(P)##. I mean, how can it still be a rectangle? It should be a point. Can you give an example of f and the coordinates for the corners closest and farthest? If you look at the relevant equations in post #1, the formulas are different for ##L_f(P)## and ##U_f(P)##, so using the same equation f(x,y), it's not possible to end up with the same answer.

haruspex said:
How does a point 'yield an area'? A given mini-rectangle has an area.
That's what i meant. To calculate ##L_f(P)## and ##U_f(P)##, you have to sum ##m_{ij}R_{ij}## and ##M_{ij}R_{ij}##, respectively. For example, if ##f(x,y)=x+y-2##, then ##M_{ij}=x_i+y_j-2## and ##m_{ij}=x_{i-1}+y_{j-1}-2##. So, if you substitute different coordinates for both ##m_{ij}## and ##M_{ij}##, then the answer cannot be the same!
 
Last edited:
Consider floor(x) = greatest integer ≤ x. Take the partition to be on integer boundaries. Within each integer square, m ≤ x < m+1, n ≤ y < n+1, f(x,y) = floor(x)+floor(y) = m+n. So the min of f in each square equals the max of f in same square. Thus Lf=Uf.
 
LCKurtz said:
A function on a rectangle wouldn't be like "a piece of string". To give you something to hang your hat on, think of that rectangle as a thin metal plate and suppose f(x,y) is the temperature at the point (x,y). Try thinking in those terms to visualize the problem.

sharks said:
So, the temperature at each point on that thin metal plate would have to be different, but not necessarily. Is that a correct interpretation of the problem? In that case, i guess this is the answer?

Hey Sharks, has somebody been spiking your eggnog? I can't make any sense out of that paragraph. Continuity in this interpretation amounts to smoothly changing temperature as you move around the region. A sudden jump could represent a discontinuity. Does that help?
 
sharks said:
That's what i meant. To calculate ##L_f(P)## and ##U_f(P)##, you have to sum ##m_{ij}R_{ij}## and ##M_{ij}R_{ij}##, respectively. For example, if ##f(x,y)=x+y-2##, then ##M_{ij}=x_i+y_j-2## and ##m_{ij}=x_{i-1}+y_{j-1}-2##. So, if you substitute different coordinates for both ##m_{ij}## and ##M_{ij}##, then the answer cannot be the same!

Go back to the definitions. What are [itex]M_{ij}[/itex] and [itex]m_{ij}[/itex]? They are
[tex] M_{ij} = \sup\{f(x,y) : x_{i-1} \leq x \leq x_i , y_{j-1} \leq y \leq y_j \}[/tex]
and
[tex] m_{ij} = \inf\{f(x,y) : x_{i-1} \leq x \leq x_i , y_{j-1} \leq y \leq y_j \}[/tex]
It happens in the example you give that [itex]x + y - 2[/itex] is increasing in both [itex]x[/itex] and [itex]y[/itex], and therefore that the infimum is attained at the bottom left corner [itex](x_{i-1},y_{j-1})[/itex] and the supremum is attained at the top right corner [itex](x_i,y_j)[/itex] of each rectangle. But [itex]f[/itex] could easily be such that both the supremum and the infimum are attained at points in the interior of a rectangle, and at different points in each rectangle.

Now
[tex] U_f(P) - L_f(P) = \sum_i \sum_j M_{ij}R_{ij} - \sum_i \sum_j m_{ij}R_{ij}<br /> = \sum_i \sum_j (M_{ij} - m_{ij})R_{ij}[/tex]
So if [itex]L_f(P) = U_f(P)[/itex], then since [itex]R_{ij} = (x_i - x_{i-1})(y_j - y_{j-1}) > 0[/itex] for all [itex]i[/itex] and [itex]j[/itex], we must have [itex]M_{ij} = m_{ij}[/itex] for all [itex]i[/itex] and [itex]j[/itex]. Therefore by definition, on each rectangle,
[tex]\sup\{f(x,y) : x_{i-1} \leq x \leq x_i , y_{j-1} \leq y \leq y_j \} = \inf\{f(x,y) : x_{i-1} \leq x \leq x_i , y_{j-1} \leq y \leq y_j \}[/tex]

What does that imply about the value of [itex]f[/itex] on each rectangle?
 
  • #10
LCKurtz said:
Hey Sharks, has somebody been spiking your eggnog? I can't make any sense out of that paragraph. Continuity in this interpretation amounts to smoothly changing temperature as you move around the region. A sudden jump could represent a discontinuity. Does that help?
OK, after a few hours of sleep, i realize that i might have overestimated the problem, so the answer is: The extended f can fail to be continuous on the boundary of Ω due to possible irregular (not smooth) changes at those points on the boundary.

I think an improvement to visualize this problem, is to consider regions Ω and R to be made of different heat conductive materials, and the area outside of R is a heat insulator. Hence, the boundary of Ω is the joint between the 2 different materials, accounting for possible discontinuities of extended f, in terms of smooth changes in temperature when moving across the boundary from Ω to R or vice-versa. Is this correct?

pasmith said:
Go back to the definitions. What are [itex]M_{ij}[/itex] and [itex]m_{ij}[/itex]? They are
[tex] M_{ij} = \sup\{f(x,y) : x_{i-1} \leq x \leq x_i , y_{j-1} \leq y \leq y_j \}[/tex]
and
[tex] m_{ij} = \inf\{f(x,y) : x_{i-1} \leq x \leq x_i , y_{j-1} \leq y \leq y_j \}[/tex]
It happens in the example you give that [itex]x + y - 2[/itex] is increasing in both [itex]x[/itex] and [itex]y[/itex], and therefore that the infimum is attained at the bottom left corner [itex](x_{i-1},y_{j-1})[/itex] and the supremum is attained at the top right corner [itex](x_i,y_j)[/itex] of each rectangle. But [itex]f[/itex] could easily be such that both the supremum and the infimum are attained at points in the interior of a rectangle, and at different points in each rectangle.

Now
[tex] U_f(P) - L_f(P) = \sum_i \sum_j M_{ij}R_{ij} - \sum_i \sum_j m_{ij}R_{ij}<br /> = \sum_i \sum_j (M_{ij} - m_{ij})R_{ij}[/tex]
So if [itex]L_f(P) = U_f(P)[/itex], then since [itex]R_{ij} = (x_i - x_{i-1})(y_j - y_{j-1}) > 0[/itex] for all [itex]i[/itex] and [itex]j[/itex], we must have [itex]M_{ij} = m_{ij}[/itex] for all [itex]i[/itex] and [itex]j[/itex]. Therefore by definition, on each rectangle,
[tex]\sup\{f(x,y) : x_{i-1} \leq x \leq x_i , y_{j-1} \leq y \leq y_j \} = \inf\{f(x,y) : x_{i-1} \leq x \leq x_i , y_{j-1} \leq y \leq y_j \}[/tex]

What does that imply about the value of [itex]f[/itex] on each rectangle?
If, for a set of points in a partition ##P##, ##\iint_P f(x,y)\,.dxdy=I## and for a different set of points within the same partition ##P##, ##\iint_P f(x,y)\,.dxdy=I##, then the volume has to be constant above that whole partition P of the rectangle R. More precisely, the average value of f on P is constant (mean-value condition). Is that correct?
 
Last edited:
  • #11
sharks said:
If, at a set of points in a partition ##P##, ##\iint_R f(x,y)\,.dxdy=I##
I can attach no meaning to that supposition. ##\iint_R f(x,y)\,.dxdy## doesn't take a value "at a set of points". f takes a value at each point; the integral takes a value of a region. Throughout this thread you have asked questions and made statements that lead me to believe you have a fundamental misunderstanding of the whole topic. I'd love to help you get past this, but so far I've not been able to figure out what conceptual block you have. I'll keep at it if you will :wink:, or maybe someone else can explain it better.
 
  • #12
haruspex said:
I can attach no meaning to that supposition. ##\iint_R f(x,y)\,.dxdy## doesn't take a value "at a set of points". f takes a value at each point; the integral takes a value of a region. Throughout this thread you have asked questions and made statements that lead me to believe you have a fundamental misunderstanding of the whole topic. I'd love to help you get past this, but so far I've not been able to figure out what conceptual block you have. I'll keep at it if you will :wink:, or maybe someone else can explain it better.
I know it's basic stuff, but previously i couldn't wrap my mind around the elementary concepts. I certainly appreciate all the help and i think that i finally understood the problem. In my previous reply, i didn't explain the answer properly but the concise answer would be: the average value of f on P is constant (mean-value condition).
 
  • #13
sharks said:
the average value of f on P is constant (mean-value condition).
Still unsure what you mean by that. Do you mean the average value of f in each minirectangle is the same? If it is, then no. f is constant within each minirectangle, but the value in one minirectangle is independent of the value in each of the others.
 
  • #14
haruspex said:
Throughout this thread you have asked questions and made statements that lead me to believe you have a fundamental misunderstanding of the whole topic.

I have pretty much concluded the same thing. I'm not convinced he understands the concept of a function of two variables. Perhaps these questions are arising in an analysis course and I think my best advice at this point is for him to sit down with his teacher. I don't know how to go farther with the question I have been addressing without essentially working it for him.
 
  • #15
haruspex said:
Still unsure what you mean by that. Do you mean the average value of f in each minirectangle is the same? If it is, then no. f is constant within each minirectangle, but the value in one minirectangle is independent of the value in each of the others.
OK, i got it.
LCKurtz said:
I have pretty much concluded the same thing. I'm not convinced he understands the concept of a function of two variables. Perhaps these questions are arising in an analysis course and I think my best advice at this point is for him to sit down with his teacher. I don't know how to go farther with the question I have been addressing without essentially working it for him.
So, my answer in post #10 is wrong? In that case, i have no idea.

Actually, it's a distance course, so I've been trying to figure it out all by myself. Previously, i had learned the wrong methods from another manual (what a mess!), so restarting all over again and to help me get the basics right, i recently bought a seemingly-established calculus book and I'm going through the introductory chapters preceding line and surface integrals.
 
  • #16
sharks said:
So, my answer in post #10 is wrong? In that case, i have no idea.
Yes, I'm afraid none of what you posted there made any sense.
As we've said, you can think of a function of two variables as a surface of some shape floating above a region of a flat plane. For each pair of values (x,y) there corresponds a point in the plane. The value of the function f at that point is the height of the surface directly above the plane at that point. The integral of the function over the region is the volume between the plane and the surface.
The lower and upper bound functions mentioned in the OP are formed as follows. The region is carved up into small rectangles. Within each minirectangle independently, you find the greatest and least value of f (greatest and least height above the minirectangle). For Lf(P), you use the this least value as though it were the value of f over the whole minirectangle. You do this independently in each minirectangle. The result is like a 3D paving. Each paving slab is level, and just touches the original surface, but never protrudes above it. Clearly, the volume under f is greater than or equal to the volume under this paving. Similarly, you take the greatest value of f in each minirectangle to find Uf(P).
 
  • #17
haruspex said:
Yes, I'm afraid none of what you posted there made any sense.
As we've said, you can think of a function of two variables as a surface of some shape floating above a region of a flat plane. For each pair of values (x,y) there corresponds a point in the plane. The value of the function f at that point is the height of the surface directly above the plane at that point. The integral of the function over the region is the volume between the plane and the surface.
The lower and upper bound functions mentioned in the OP are formed as follows. The region is carved up into small rectangles. Within each minirectangle independently, you find the greatest and least value of f (greatest and least height above the minirectangle). For Lf(P), you use the this least value as though it were the value of f over the whole minirectangle. You do this independently in each minirectangle. The result is like a 3D paving. Each paving slab is level, and just touches the original surface, but never protrudes above it. Clearly, the volume under f is greater than or equal to the volume under this paving. Similarly, you take the greatest value of f in each minirectangle to find Uf(P).

That was very helpful to visualize the first problem. But just to clarify a little doubt that i have from what you said: "The region is carved up into small rectangles." I assume that by "the region", you mean the flat plane located under the surface f(x,y) and not the surface itself?

On another note, how do i apply this notion to the second problem, which (from what i understand) deals with continuity? The problem is presented only in 2D as i see no z-axis, but maybe the latter was omitted, so I'm not sure if i should consider the function f to be floating above the plane Ω (as you explained earlier), or is the function f lying within the region Ω (f forms the region Ω, in which case the region Ω is not a flat plane, z=0)?

Thank you for your patience.

Edit: OK, after reading problem #2 a few more times, here's an attempt at the answer:
Assuming that we're dealing with 3D, so in this context, f is floating above the flat regions Ω and R, both found in the same plane z=0. The original f is continuous on all of Ω, including the boundary of Ω, as it forms part of the same basic region. f is defined to be 0 outside of Ω, so the extended f will be continuous within the region found outside of Ω but within R (can i state something like this to illustrate my point? ##Ω<continuity\,of\,f \leq R##), but the extended f can fail (meaning, it might or might not be continuous) at the boundary of Ω, since that would depend if the value of the original f at that particular point on the boundary of Ω is equal to the value of the extended f at that same point on the boundary of Ω. If the values are equal, the extended f is continuous at that particular point on the boundary of Ω, otherwise, the extended f is not continuous.
I hope that's a correct interpretation of the problem?
 
Last edited:
  • #18
I edited my post above, so not sure if anyone noticed and read my suggested answer. I just want closure on this problem, so i can move on to the next chapter.

My apologies for being annoying but I'm really trying to get a proper understanding of this problem. Thanks for the help.
 
  • #19
sharks said:
"The region is carved up into small rectangles." I assume that by "the region", you mean the flat plane located under the surface f(x,y) and not the surface itself?
Principally the flat plane, but you can project it up to the surface to create a partition of that.
On another note, how do i apply this notion to the second problem, ? The problem is presented only in 2D as i see no z-axis, but maybe the latter was omitted,
Putting in the z axis is just to help visualise the function.
so I'm not sure if i should consider the function f to be floating above the plane Ω (as you explained earlier), or is the function f lying within the region Ω (f forms the region Ω, in which case the region Ω is not a flat plane, z=0)?
f is not 'in' any place. It is a mapping. It has defined values over the region Ω, and you can visualise the values as a surface floating above Ω.
the extended f can fail (meaning, it might or might not be continuous) at the boundary of Ω, since that would depend if the value of the original f at that particular point on the boundary of Ω is equal to the value of the extended f at that same point on the boundary of Ω. If the values are equal, the extended f is continuous at that particular point on the boundary of Ω, otherwise, the extended f is not continuous.
Not quite. Extending f did not give it a second value anywhere. It has all the original values at points in Ω, and it is zero at points not in Ω.
To decide whether it is continuous, you must use a definition of continuity. What definition do you have?
 

Similar threads

Replies
2
Views
2K
Replies
10
Views
2K
  • · Replies 3 ·
Replies
3
Views
2K
  • · Replies 4 ·
Replies
4
Views
2K
  • · Replies 7 ·
Replies
7
Views
2K
Replies
9
Views
2K
Replies
2
Views
1K
  • · Replies 11 ·
Replies
11
Views
4K
  • · Replies 6 ·
Replies
6
Views
2K
Replies
0
Views
2K