What Are the Key Concepts in Fluid Dynamics Homework?

Click For Summary

Discussion Overview

The discussion revolves around a homework problem in fluid dynamics, specifically focusing on the relationship between flow speed, stream functions, and the application of mathematical expressions to evaluate certain conditions in the context of the problem.

Discussion Character

  • Homework-related
  • Mathematical reasoning
  • Technical explanation

Main Points Raised

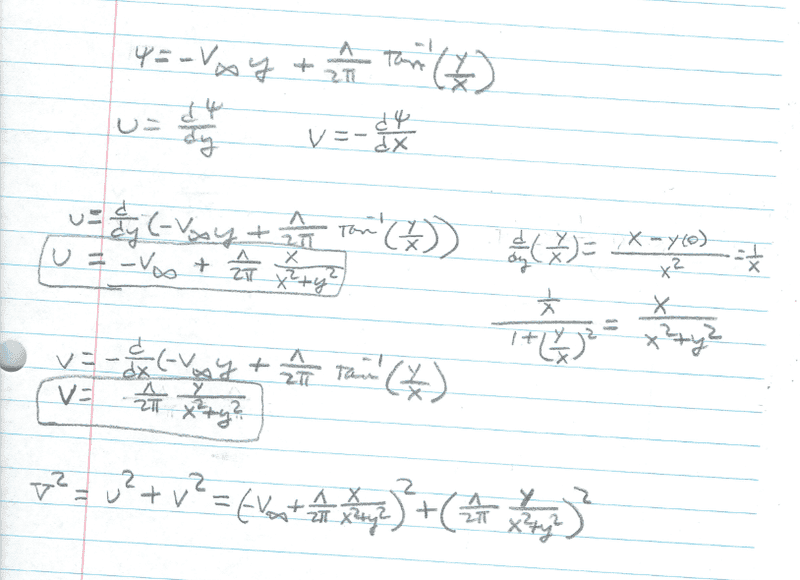
  • Some participants inquire about the proportionality of flow speed to the gradient of the stream function.
  • There is a discussion regarding the expression of velocity in terms of its components, with references to the equation V^2 = u^2 + v^2.
  • Participants suggest expressing variables in terms of polar coordinates, specifically using relationships like y = r sin(theta) and x = r cos(theta).
  • One participant expresses confusion about the question and seeks clarification on how to proceed after obtaining V^2.
  • There is mention of evaluating conditions at specific angles (theta = 66.8 degrees) and the implications of setting psi = 0.
  • Participants discuss the relevance of Bernoulli's equation in the context of relating velocity and pressure, although this is met with differing views on its applicability.
  • One participant acknowledges a misunderstanding regarding the variable psi, initially thinking it referred to pressure, but later clarifies their calculations leading to a satisfactory result.

Areas of Agreement / Disagreement

The discussion includes multiple competing views on the application of equations and the interpretation of variables. While some participants provide guidance and clarification, there is no consensus on the best approach to solve the problem, and confusion persists among some participants.

Contextual Notes

Participants express uncertainty regarding the definitions and relationships between variables, particularly psi and its role in the equations. There are also unresolved mathematical steps related to the evaluation of derivatives and the application of the Bernoulli equation.

shreddinglicks
Messages
225
Reaction score
7

Homework Statement


upload_2017-3-6_19-23-1.png


upload_2017-3-6_19-23-31.png

Homework Equations


upload_2017-3-6_19-24-8.png


The Attempt at a Solution


I don't even know where to start. I don't understand the question.
 
Physics news on Phys.org
Have you learned that the speed of the flow is proportional to the magnitude of the gradient of the stream function?
 
Chestermiller said:
Have you learned that the speed of the flow is proportional to the magnitude of the gradient of the stream function?
do you mean

V^2=u^2+v^2

where
upload_2017-3-6_19-42-50.png
 
shreddinglicks said:
do you mean

V^2=u^2+v^2

where
View attachment 114202
Yes. But you need to express theta in terms of x and y to evaluate these derivatives.(except, of course, far upstream).
 
Chestermiller said:
Yes. But you need to express theta in terms of x and y to evaluate these derivatives.(except, of course, far upstream).
So would it be better to use
upload_2017-3-6_19-48-8.png

and make y = rsin(theta)
 
Chestermiller said:
Yes. But you need to express theta in terms of x and y to evaluate these derivatives.(except, of course, far upstream).
Wait, I see what you mean
upload_2017-3-6_19-54-29.png
 
Chestermiller said:
Good.
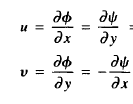
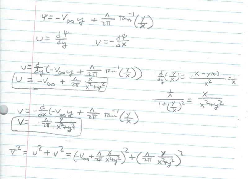
upload_2017-3-6_20-13-48.png
 
shreddinglicks said:
I'm not going to check your math. I leave it to you to get the math correct.
 
  • #10
Chestermiller said:
I'm not going to check your math. I leave it to you to get the math correct.
That's fine. I'm not here to learn math. Since I now have V^2 what do I do from here? I still don't understand the question I need to solve.
 
  • #11
You need to show that, at the x and y corresponding to theta = 66.8 degrees and psi = 0, the speed is the same as at y = 0, x = infinity
 
Last edited:
  • #12
Chestermiller said:
You need to show that, at the x and y corresponding to theta = 66.8 degrees and psi = 0, the speed is the same as at y = 0, x = - infinity
So I know at a large value of -x and y= o that my V^2 is equal to 1.

would it be appropriate to sub in
x=rcos(theta)
y=rsin(theta)
r=x^2+y^2
and then plug in 66.8 = theta
 
  • #13
shreddinglicks said:
So I know at a large value of -x and y= o that my V^2 is equal to 1.

would it be appropriate to sub in
x=rcos(theta)
y=rsin(theta)
r=x^2+y^2
and then plug in 66.8 = theta
You have to evaluate it at psi = 0.
 
  • #14
Chestermiller said:
You have to evaluate it at psi = 0.
Bernoulli eq?
 
  • #15
shreddinglicks said:
Bernoulli eq?
What about it?
 
  • #16
Chestermiller said:
What about it?
The only thing I can think of that would relate the velocity eq and pressure would be that. Is that what I should be using?
 
  • #17
shreddinglicks said:
The only thing I can think of that would relate the velocity eq and pressure would be that. Is that what I should be using?
No. You should be setting psi = 0 and theta = 66.8 degrees (in radians). This gives you an equation for y. Once you know y and theta, you know x.
 
  • #18
Chestermiller said:
No. You should be setting psi = 0 and theta = 66.8 degrees (in radians). This gives you an equation for y. Once you know y and theta, you know x.
I see exactly what you mean. I must be losing my mind thinking psi is pressure. I did exactly what you said and got x and y. I plugged into the the V^2 equation and got 1 as my answer.
 
  • #19
Thanks for helping me. I can sleep easy tonight. You are the man Chestermiller!
 

Similar threads

Replies
8
Views
2K
  • · Replies 5 ·
Replies
5
Views
2K
  • · Replies 1 ·
Replies
1
Views
4K
  • · Replies 12 ·
Replies
12
Views
3K
  • · Replies 4 ·
Replies
4
Views
3K
  • · Replies 1 ·
Replies
1
Views
2K
Replies
2
Views
2K
  • · Replies 1 ·
Replies
1
Views
3K
Replies
2
Views
3K
  • · Replies 13 ·
Replies
13
Views
4K