What is the Fourier Transform of cos(theta) and sin(theta + pi/2)?

Click For Summary

Discussion Overview

The discussion revolves around the Fourier Transform (FT) of the functions cos(theta) and sin(theta + pi/2). Participants explore the mathematical properties and transformations involved in calculating the FTs of these functions, particularly focusing on the application of the time-shifting property.

Discussion Character

  • Homework-related
  • Mathematical reasoning
  • Technical explanation

Main Points Raised

  • One participant states that they expected the FTs of cos(theta) and sin(theta + pi/2) to be the same due to their equivalence but encountered different results.
  • Another participant suggests multiplying the exponential factor through and utilizing the property of delta functions in the context of Fourier Transforms.
  • A participant expresses that they nearly achieved the same result for the FT of cos(theta) but are confused about a minus sign appearing before the second delta function.
  • One participant advises checking the signs, noting that one factor will be just j and the other -j, which affects the sign of the term in question.
  • A later reply confirms that the sign issue was resolved by substituting f = -f0 for the second exponential, leading to a satisfactory outcome.

Areas of Agreement / Disagreement

Participants do not reach a consensus on the initial expectation that the FTs of the two functions should be identical, as the discussion reveals differing results and confusion regarding signs in the calculations.

Contextual Notes

There are unresolved aspects regarding the handling of signs in the Fourier Transform calculations and the implications of the time-shifting property. The discussion reflects a dependency on the correct application of mathematical properties without fully resolving the discrepancies noted by participants.

frenzal_dude
Messages
76
Reaction score
0

Homework Statement


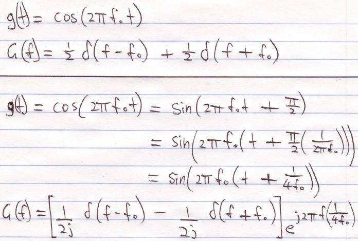
Hi, I tried to work out the FT of cos(theta), and sin(theta + pi/2) which should both give the exact same FT since they are the same function.

However I get two different results as shown in the .jpg.

Homework Equations



I used the 'time shifting' property to get that exponential in the second part.

Thanks in advance

The Attempt at a Solution

 

Attachments

  • question1.jpg
    question1.jpg
    42.5 KB · Views: 446
Physics news on Phys.org
Multiply the exponential factor through and use the fact that [itex]\delta(f-f_0) h(f) = \delta(f-f_0) h(f_0)[/itex].
 
vela said:
Multiply the exponential factor through and use the fact that [itex]\delta(f-f_0) h(f) = \delta(f-f_0) h(f_0)[/itex].

Thanks for your help! I never realized that.

I managed to work it out to almost the same as the cos function FT, however I am still left with the minus sign before the 2nd delta function, how do you get rid of that?
 
Check your signs. One factor will be just j and the other one will be -j, which conveniently flips the sign of that term.
 
vela said:
Check your signs. One factor will be just j and the other one will be -j, which conveniently flips the sign of that term.

Yes you are right. I forgot to sub in f=-f0 for the 2nd exponential.

It works out perfectly.

Thanks a lot for your help!
 

Similar threads

  • · Replies 3 ·
Replies
3
Views
2K
  • · Replies 2 ·
Replies
2
Views
2K
  • · Replies 3 ·
Replies
3
Views
2K
  • · Replies 4 ·
Replies
4
Views
3K
  • · Replies 5 ·
Replies
5
Views
2K
  • · Replies 3 ·
Replies
3
Views
10K
  • · Replies 14 ·
Replies
14
Views
2K
Replies
8
Views
5K
  • · Replies 3 ·
Replies
3
Views
2K
  • · Replies 3 ·
Replies
3
Views
2K