What is the mass of ceramic on the wire with non-uniform coating?

Click For Summary

Homework Help Overview

The problem involves calculating the mass of a ceramic coating on a metal wire that has a non-uniform application. The wire's shape and the density of the ceramic are provided, and the task is to use a line integral for the calculation.

Discussion Character

  • Exploratory, Assumption checking, Mathematical reasoning

Approaches and Questions Raised

  • Participants discuss the appropriateness of using a triple integral, with some suggesting that a line integral may be more suitable for finding the mass based on the wire's length. Questions arise regarding the necessary parameters, such as the wire's diameter and coating thickness.

Discussion Status

There is ongoing exploration of different mathematical approaches, with some participants providing guidance on how to express the length of the wire as a line integral. Others are attempting calculations using computer algebra systems but express uncertainty about the correctness of their results.

Contextual Notes

Participants note the lack of information regarding the wire's diameter and the thickness of the ceramic coating, which are critical for determining the volume. There is also a discussion about the units of density and the implications for the calculations.

defaultusername
Messages
16
Reaction score
0

Homework Statement


A metal wire is given a ceramic coating to protect it against heat. The machine that applies the coating
does not do so very uniformly.

The wire is in the shape of the curve
curve.PNG


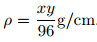
The density of the ceramic on the wire is
two.PNG


Use a line integral to calculate the mass of the ceramic on the wire.

Homework Equations


∫ f(r,t,ρ) drdtdρ

The Attempt at a Solution


Here's my 'attempt at a solution':
I tried to make a triple integral, but I don't quite know what to do next.
0π0π0π
 
Physics news on Phys.org
defaultusername said:

Homework Statement


A metal wire is given a ceramic coating to protect it against heat. The machine that applies the coating
does not do so very uniformly.

The wire is in the shape of the curve
View attachment 103255

The density of the ceramic on the wire is
View attachment 103256

Use a line integral to calculate the mass of the ceramic on the wire.

Homework Equations


∫ f(r,t,ρ) drdtdρ

The Attempt at a Solution


Here's my 'attempt at a solution':
I tried to make a triple integral, but I don't quite know what to do next.

Why? A triple integral won't help you solve this problem.

First, think about how you would find the length of the metal wire (without the ceramic coating). How would you express that length as a line integral?

http://tutorial.math.lamar.edu/Classes/CalcIII/VectorArcLength.aspx

Once you figure out what a small element of the length of the wire is, then apply the density function of the ceramic coating. How would you calculate the total mass of the ceramic?
 
SteamKing said:
A triple integral won't help you
... because you are not given a diameter for the wire nor the thickness of the coating, so you have no idea what the volume is.
I would take it that the given density is grams/centimetre, not grams/ cubic metre, and that the curve has units of centimetres.

By the way, you can simplify it by a simple substitution for t.
 
Ok, so I tried to do it in a CAS. Here is what I got...not sure how right it is though.
x = 3 + 2 (Cos[t]^2)
y = 4 - 2 (Sin[t] Cos[t])
z = 2 t
\[Rho] = (x*y)/96
Dx = D[x, t]
Dy = D[y, t]
Dz = D[z, t]
Integrate[\[Rho]*Sqrt[Dx^2 + Dy^2 + Dz^2], {t, 0, \[Pi]}]

=
(Sqrt[2] \[Pi])/3
 

Similar threads

Replies
25
Views
3K
  • · Replies 19 ·
Replies
19
Views
7K
Replies
5
Views
3K
  • · Replies 6 ·
Replies
6
Views
4K
  • · Replies 10 ·
Replies
10
Views
2K
  • · Replies 7 ·
Replies
7
Views
3K
  • · Replies 4 ·
Replies
4
Views
3K
  • · Replies 3 ·
Replies
3
Views
4K
  • · Replies 1 ·
Replies
1
Views
2K
  • · Replies 2 ·
Replies
2
Views
3K