What is the mass of this vertical rope? (Mechanical Waves)

Click For Summary

Homework Help Overview

The problem involves a geologist sending a wave pulse through a vertical rope to determine the mass of the rope. The scenario includes a box of known mass suspended by the rope, with specific parameters such as the length of the rope and the time taken for the wave pulse to travel to the top.

Discussion Character

  • Exploratory, Assumption checking, Mathematical reasoning

Approaches and Questions Raised

  • Participants discuss using wave speed equations related to tension and linear mass density. There are attempts to connect the travel time of the wave pulse with the properties of the rope and the box. Some participants express confusion about how to incorporate the time information into their calculations.

Discussion Status

Several participants have provided hints and guidance regarding the relationship between tension, mass density, and wave speed. There is ongoing exploration of how to set up the equations correctly, with some participants questioning their assumptions and the implications of the rope's mass on tension. The discussion includes attempts to derive expressions for wave speed as a function of position along the rope.

Contextual Notes

Participants note the complexity of integrating the equations due to the variable nature of tension along the rope. There is also mention of homework constraints that may limit the methods available for solving the problem.

smashd
Messages
10
Reaction score
1

Homework Statement



A geologist is at the bottom of a mine shaft next to a box suspended by a vertical rope. The geologist sends a signal to his colleague at the top by initiating a wave pulse at the bottom of the rope that travels to the top of the rope. The mass of the box is 20.0 kg and the length of the rope is 80.0 m. If a wave pulse initiated by the geologist takes 1.26 s to travel up the rope to his colleague at the top, find the mass of the rope.
[/B]
15-figure-14-alt.gif

msamples = 20.0 kg
d = 80.0 m
t = 1.26 s
mrope = ?


The answer is mrope = 4.30 kg.

Homework Equations



## v = \sqrt{{\frac{Tension}{μ}}} ##[/B]

The Attempt at a Solution



I know the answer but I can't come up with it myself.

At first I thought I could use kinematics to find the initial velocity of the wave speed at the bottom of the rope, but I realized that wave speed is determined by the medium and not only by a constant acceleration. E.g.:

## v = \sqrt{{\frac{Tension}{μ}}} = \sqrt{{\frac{m_{samples} g}{{\frac{m_{rope}}{d}}}}} ≠ {\frac{d - {\frac{1}{2}} g t^2}{t}} ##

So I guess what I have trouble with the most is figuring out where or how I use the t = 1.26 s information.

How do I connect these pieces?
 
Physics news on Phys.org
Hint: use tension and linear mass density.
 
You have an equation that relates wave speed to tension and linear density. How can you use this to find out the wave speed as a function of the position on the rope? How can you determine the travel time if you know the wave speed at each position of the rope?

Do note that the rope mass will also affect the tension in the rope!
 
Thanks for the replies.

Simon Bridge said:
Hint: use tension and linear mass density.

Hmm, in what way? I already know that ## v = \sqrt{\frac{T}{μ}} ##.

Orodruin said:
Do note that the rope mass will also affect the tension in the rope!

Well I know that the tension at the top is [itex]T = (m_{samples} + m_{rope})~g[/itex], so that [itex]v = \sqrt{\frac{(m_{samples} + m_{rope})~g}{\frac{m_{rope}}{d}}}[/itex].
Orodruin said:
You have an equation that relates wave speed to tension and linear density. How can you use this to find out the wave speed as a function of the position on the rope?

The last equation I just wrote isn't a function of x.

I believe that the mass of the system is given by [itex]M(x) = m_{sample} + \frac{m_{rope}} {d}\ dx[/itex], which is a function of x.

Is this what you're talking about: [itex]v(x) = \sqrt{\frac{(m_{sample} + \frac{m_{rope}} {d}\ dx)~g}{\frac{m_{rope}}{d}}}[/itex] ? Seems kinda redundant. Am I over thinking it?

Orodruin said:
How can you determine the travel time if you know the wave speed at each position of the rope?

## dt = \frac{x}{v(x)}\ ## ?
 
Last edited:
smashd said:
## t = \frac{x}{v(x)}\ ##?
this ##t## isn't your total time. It should be ##dt## then integrate
 
smashd said:
I believe that the mass of the system is given by [itex]M(x) = m_{sample} + \frac{m_{rope}} {d}\ dx[/itex], which is a function of x.

... and this dx is not a dx but an x. The tension in the rope at one point is the force required to support the sample and the rope below.
 
Changed it to y so that's it's a little more intuitive.

Mass of the system:
[tex]M(y) = m_{sample} + \frac{m_{rope}}{d} ~ y[/tex]

Tension on the system:
[tex]T(y) = M(y) ~ g = (m_{sample} + \frac{m_{rope}}{d} ~ y) ~ g[/tex]

Wave speed:
[tex]v(y) = \sqrt{\frac{T(y)}{μ}} = \sqrt{\frac{(m_{sample} + \frac{m_{rope}}{d} y)~g}{\frac{m_{rope}}{d}}}[/tex]

---------------

[tex]\frac{dy}{dt}\ = v(y)[/tex]

So that

[tex]dt = \frac{1}{\sqrt{\frac{(m_{sample} + \frac{m_{rope}}{d} y)~g}{\frac{m_{rope}}{d}}}} ~ dy[/tex]

Then

[tex]t = \int_{0}^{80} \frac{1}{\sqrt{\frac{(m_{sample} + \frac{m_{rope}}{d} y)~g}{\frac{m_{rope}}{d}}}} ~ dy[/tex]

...Integrate, plug-in my knowns, solve for unknown? Is this what I need to do to get ## m_{rope} ##?

/EDIT: This integral is correct. If I plug in values for every variable, I do get 1.26 s. I guess I need to solve this integral! Thanks for the help, everyone.
 
Last edited:
I solved it. I thought I'd share my solution for future reference. Thanks again for the help!

[tex]v(y) = \sqrt{\frac{T(y)}{μ}}[/tex]
[tex]\frac{dy}{dt}\ = v(y)[/tex]
[tex]\sum F_{y} = T(y) = M(y) ~ g[/tex]

--------------------

[tex]T(y) = M(y) ~ g[/tex]

[tex]M(y) = m_{sample} + \frac{m_{rope}}{d} ~ y[/tex]​
[tex]T(y) = \left(m_{sample} + \frac{m_{rope}}{d} ~ y\right) ~ g[/tex]
[tex]μ = \frac{m_{rope}}{d}[/tex]

--------------------

[tex]\frac{dy}{dt}\ = v(y) = \sqrt{\frac{T(y)}{μ}}[/tex]

[tex]~ ~ ~ ~ ~ ~ = \sqrt{\frac{\left(m_{sample} + \frac{m_{rope}}{d} y\right) ~ g}{\frac{m_{rope}}{d}}}[/tex]

[tex]~ ~ ~ ~ ~ ~ = \sqrt{\left(\frac{m_{sample} ~ d}{m_{rope}} + y\right) ~ g}[/tex]

[tex]dt = \frac{1}{\sqrt{\left(\frac{m_{sample} ~ d}{m_{rope}} + y\right) ~ g}} ~ dy[/tex]

[tex]t = \int_{y=0}^{d} \frac{1}{\sqrt{\left(\frac{m_{sample} ~ d}{m_{rope}} + y\right) ~ g}} ~ dy[/tex]

Let...
[tex]u = \frac{m_{sample} ~ d}{m_{rope}} + y[/tex]
[tex]du = dy[/tex]​

[tex]~ ~ = \int_{u_{1}}^{u_{2}} \frac{1}{\sqrt{u g}} ~ du[/tex]

[tex]~ ~ = \frac{2}{\sqrt{g}} ~ \sqrt{\frac{m_{sample} ~ d}{m_{rope}} + y} ~ ~ \Bigg|_{y = 0}^{d}[/tex]

[tex]t = \frac{2}{\sqrt{g}} ~ \left(\sqrt{\frac{m_{sample} ~ d}{m_{rope}} + d} ~ - ~ \sqrt{\frac{m_{sample} ~ d}{m_{rope}}}\right)[/tex]

So then...

[tex]m_{rope} = \frac{16 ~ d ~ g ~ m_{samples} ~ t^2}{(4 ~ d - g ~ t^2)^2}[/tex]

[tex]m_{samples} = 20.0 ~ kg[/tex]
[tex]d = 80.0 ~ m[/tex]
[tex]t = 1.26 ~ s[/tex]
[tex]g = 9.81 ~ m/s[/tex]​

[tex]m_{rope} = 4.30 ~ kg[/tex]
 
Last edited:
  • Like
Likes   Reactions: Orodruin
How did you get from the final equation for t to the mass of the rope.

I am having trouble solving for mrope and any additional help will be appreciated.
 
  • #10
kva19 said:
How did you get from the final equation for t to the mass of the rope.

I am having trouble solving for mrope and any additional help will be appreciated.
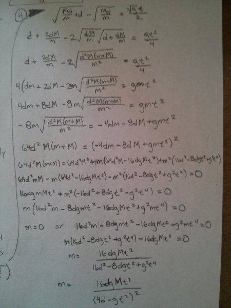
Yeah, there's a lot of squaring and factoring going on. But I tend to over think on these algebra problems, so I might have taken the long way around. Either way, I've attached a picture of my work to this post. I hope it helps...

physics.jpg


M is ## m_{sample} ## and m is ## m_{rope} ##.
 
  • #11
smashd said:
Yeah, there's a lot of squaring and factoring going on. But I tend to over think on these algebra problems, so I might have taken the long way around. Either way, I've attached a picture of my work to this post. I hope it helps...

View attachment 80410

M is ## m_{sample} ## and m is ## m_{rope} ##.

I got half way through this and thought to myself I am doing waaay more than needed. Guess not. Thanks!
 

Similar threads

  • · Replies 4 ·
Replies
4
Views
2K
Replies
15
Views
3K
  • · Replies 6 ·
Replies
6
Views
4K
Replies
46
Views
7K
Replies
13
Views
2K
  • · Replies 5 ·
Replies
5
Views
5K
Replies
11
Views
3K
Replies
8
Views
2K
  • · Replies 1 ·
Replies
1
Views
3K
Replies
13
Views
6K