What is the Purpose of Modal Analysis in Mechanical Systems?

  • Context: Undergrad 
  • Thread starter Thread starter Trying2Learn
  • Start date Start date
  • Tags Tags
    Analysis Modal analysis
Click For Summary
SUMMARY

Modal analysis is a critical method in mechanical systems used to study dynamic properties in the frequency domain, focusing on free vibration problems by assuming a solution where all mass elements oscillate at the same natural frequency. The process involves establishing a singular matrix to avoid null solutions, calculating the determinant, and deriving the characteristic equation to identify modes. This analysis allows engineers to evaluate system behavior under specific frequencies, ultimately addressing concerns such as amplitude versus driving force and the impact on passenger comfort in applications like train systems.

PREREQUISITES
  • Understanding of free vibration problems in mechanical systems
  • Familiarity with matrix operations and determinants
  • Basic knowledge of dynamic properties in the frequency domain
  • Concept of natural frequency and its significance in mechanical systems
NEXT STEPS
  • Research the process of deriving the characteristic equation in modal analysis
  • Explore the implications of damping on modal analysis results
  • Study the relationship between amplitude, driving force, and passenger comfort in mechanical systems
  • Learn about eigenvalue analysis and its connection to modal analysis
USEFUL FOR

Mechanical engineers, structural analysts, and anyone involved in the design and analysis of dynamic systems, particularly those focused on vibration analysis and system response evaluation.

Trying2Learn
Messages
375
Reaction score
57
TL;DR
Modal analysis
modal analysis.PNG


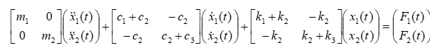
Consider this system, above.

If I studied the mechanics of this system, I get this system of equations.

system.PNG


At that point, I choose to study a free vibration problem and drop the damping, and conduct a modal analysis.

I understand the process:vvI assume a solution such that each mass moves with the same frequency, expressed as a complex exponential.
Then, I assume a singular matrix to avoid the null solution, work out the determinant, get the characteristic equation and find the modes.

OK, so, with that in mind, what IS a modal analysis?

What I am hoping to learn, is a self-contained explanation that links the assumptions of the solution approach, to what a modal analysis is
in a simple way, without a discussion of resonance or eigenvalues, etc.

I look up on quora or wiki and other sites and get this:

Modal analysis is the study of the dynamic properties of systems in the frequency domain.

So, yes, I get that. I see that. But I feel (and I am sorry) I am still bereft of explanation of what a modal analysis is, that is stripped of any mathematical analysis.

Yes, I understand the explanation of pushing a child on a swing, at a certain frequency, or the Mexico city earthquake. I understand the resonance. But I am hoping for an explanation that links the steps of the analysis to the desire of what we are trying to obtain?

Or is it as simple as this (in my words)?
"We assume all mass elements in the system are activated by the same natural frequency and we study the tendency of the behavior (the modes) under that common frequency"

Is it that simple?

Note that for an eigenvalue analysis, we assume we can separate the mode shapes (SPACE) from the frequency response (TIME). So, could another explanation of modal analysis be:

"The assumption that one can readily separate the spatial displacements of all constituent mass elements, from a common frequency response."
 
Last edited:
Physics news on Phys.org
From an engineering perspective I would think the goal is an answer to "how bad can it be?". The modal analysis is straight forward mathematically, it's the particulars that need to be supplied. Clearly in the example shown, the dissipation terms etc determine the Q of the resulting resonances. From there it's what you're most concerned about, amplitude verses driving force, will people on the train throw up, etc. One needs to come up with reasonable estimates for dampening, mass, spring constants and what are the bounds to the driving force. This has to be weighed against what it takes to make a passenger throw up. Sounds like engineering.
 

Similar threads

  • · Replies 3 ·
Replies
3
Views
2K
  • · Replies 8 ·
Replies
8
Views
2K
Replies
6
Views
2K
  • · Replies 7 ·
Replies
7
Views
3K
  • · Replies 3 ·
Replies
3
Views
4K
  • · Replies 5 ·
Replies
5
Views
3K
  • · Replies 5 ·
Replies
5
Views
4K
  • · Replies 3 ·
Replies
3
Views
2K
  • · Replies 4 ·
Replies
4
Views
3K
  • · Replies 3 ·
Replies
3
Views
2K