What is the Relationship Between Velocity, Radius, and Force in a Pulley System?

  • Thread starter Thread starter AN630078
  • Start date Start date
Click For Summary

Homework Help Overview

The discussion revolves around the relationship between velocity, radius, and force in a pulley system, focusing on how the configuration of pulleys affects the motion and forces involved.

Discussion Character

  • Exploratory, Conceptual clarification, Assumption checking

Approaches and Questions Raised

  • Participants explore the implications of pulley configuration on velocity, questioning why the velocity of the mass differs from the rate at which the string is wound. There are discussions about the number of pulleys and strings, and how these factors influence the forces acting on the system.

Discussion Status

Participants are actively engaging with each other's points, clarifying misunderstandings about the mechanics of the pulley system. Some guidance has been offered regarding the relationship between the number of strings and the forces involved, but no consensus has been reached on the exact calculations or interpretations.

Contextual Notes

The problem appears to lack a defined initial state and assumes a steady rate of pull, which may affect the interpretations of velocity and force in the discussion.

AN630078
Messages
242
Reaction score
25
Homework Statement
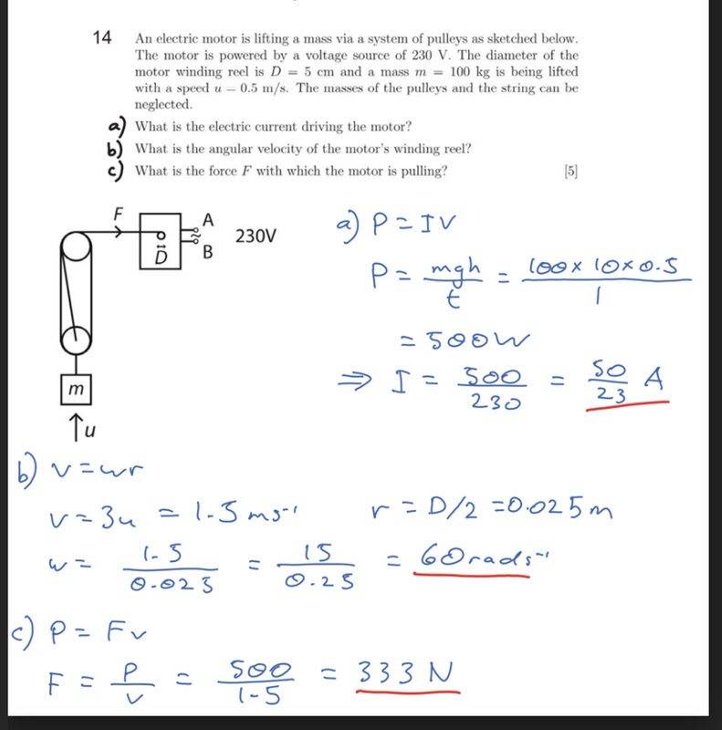
Hello, I have been practising some of the past Oxford PAT papers and have come across a question with the mark scheme which I do not understand. I have attached a photograph of it.
Why does the velocity equal 3*initial velocity for part b? Why is the velocity not 0.5ms^-1?
Relevant Equations
W=v/r
B)
W=v/r
v=?
r=diameter/2=0.025m
 

Attachments

  • C58189EC-65E8-401B-863E-BEDDA3FD63F4.jpeg
    C58189EC-65E8-401B-863E-BEDDA3FD63F4.jpeg
    47.7 KB · Views: 130
Physics news on Phys.org
AN630078 said:
Why does the velocity equal 3*initial velocity for part b?
That's just the way the pulleys are strung. For every 3 units of motion of the string being wound by the motor, the lifted mass rises 1 unit.
The problem seems to concern a steady rate of pull, without initial acceleration or any kind of 'initial state' defined.

Why is the velocity not 0.5ms^-1?
That's the velocity of the mass m, not the rate at which the reel is winding the string.
 
Halc said:
That's just the way the pulleys are strung. For every 3 units of motion of the string being wound by the motor, the lifted mass rises 1 unit.
The problem seems to concern a steady rate of pull, without initial acceleration or any kind of 'initial state' defined.

That's the velocity of the mass m, not the rate at which the reel is winding the string.
Oh ok thank you very much for your reply. I did not know that, so is it because there are three pulleys in this system to lift the mass by 1 unit. But for example if there were only two pulleys for the string to be wound around would the velocity be found by v=2u?
Right ok, I see that it is the velocity of the mass not the velocity of the winding.
 
AN630078 said:
Oh ok thank you very much for your reply. I did not know that, so is it because there are three pulleys in this system to lift the mass by 1 unit. But for example if there were only two pulleys for the string to be wound around would the velocity be found by v=2u?
It is not so much the number of pulleys but the number of strings between the pulleys. There are 3 strings pulling up on m, and the force needs to balance. So there is 980 N pulling down, so each string must be pulling up at 327N. The 333 answer seems to assume a round 10 m/sec gravitational acceleration.
 
Last edited:
Halc said:
It is not so much the number of pulleys but the number of strings. There are 3 strings pulling up on m, and the force needs to balance. So there is 980 N pulling down, so each string must be pulling up at 327N. The 333 answer seems to assume a round 10 m/sec gravitational acceleration.
Oh ok I think I understand it far better now Thank you for your help 👍😄
 

Similar threads

Replies
1
Views
1K
  • · Replies 24 ·
Replies
24
Views
3K
Replies
5
Views
1K
  • · Replies 2 ·
Replies
2
Views
997
  • · Replies 40 ·
2
Replies
40
Views
5K
  • · Replies 7 ·
Replies
7
Views
1K
  • · Replies 22 ·
Replies
22
Views
7K
  • · Replies 18 ·
Replies
18
Views
5K
  • · Replies 32 ·
2
Replies
32
Views
3K
  • · Replies 11 ·
Replies
11
Views
4K