Where did this equation come from?

  • Thread starter Thread starter pivoxa15
  • Start date Start date
Click For Summary

Homework Help Overview

The discussion revolves around a mathematical identity encountered in thermal physics, with the original poster seeking to understand its derivation. The context involves the application of partial derivatives and the relationships between dependent and independent variables.

Discussion Character

  • Conceptual clarification, Mathematical reasoning, Assumption checking

Approaches and Questions Raised

  • Participants explore the notation used in the equation, with some attempting to clarify the roles of dependent and independent variables. Questions arise about the use of the Jacobian and the implications of rewriting functions in terms of different variables.

Discussion Status

The discussion is ongoing, with participants providing insights into the notation and relationships between variables. Some guidance has been offered regarding the chain rule for partial derivatives, but there is no explicit consensus on the derivation or the clarity of the notation.

Contextual Notes

There are constraints related to the clarity of the notation used in the equation, and participants are questioning the assumptions about the dependencies of the variables involved. The original poster's inability to open an attached document may also be affecting the discussion.

pivoxa15
Messages
2,250
Reaction score
1

Homework Statement


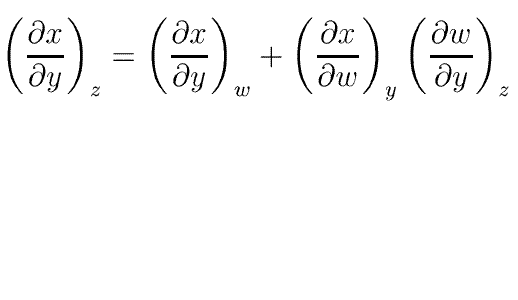
This equation in the attached document appeared in thermal physics as a mathematical identity. I like to know mathematically how it is derived.



The Attempt at a Solution


I don't know where to start
 

Attachments

  • equation.GIF
    equation.GIF
    3.9 KB · Views: 555
Physics news on Phys.org
I can't open the gif file. Maybe others can.
 
A Mentor needs to approve it. They're probably catching up on their Z's, now. :biggrin:
 
That's just the chain rule for partial derivatives- the notation, being physics rather than mathematics is a little peculiar. The subscripts mean "this variable being treated as a constant.
 
You are right in that the notations are not clear.
I assume that the 4 variables x,y,z,w are dependent variables? But what are the independent variables? Do I need to use the Jacobian?
 
pivoxa15 said:
You are right in that the notations are not clear.
I assume that the 4 variables x,y,z,w are dependent variables? But what are the independent variables? Do I need to use the Jacobian?

On the left side, x is a function of y and z, x(y,z).

Then imagine rewriting this as a function of y and w instead, where w is some function of *both* y and z. The only condition is that the resulting function x(y,w) does not depend on z explicitly (but it does implicitly through the dependence of w on z).

In other words, one goes from x(y,z) to x(y,w(y,z)).

Edit: when I say that w is a function of both y and z, I mean that it *may* be a function of both y and z. Of course, a special and trivial case is w=z. A slightly more general case is w is some function of z. In both cases, obviously the partial derivative of x with respect to y is the same no matter if x is expressed in terms of y,z or in terms of y,w. But if w is a function of both z and y, the formula needed is the one you quoted.


Patrick
 
Last edited:
I see, how did you work it out?

They should state
if x(y,z)=x(y,w(y,z)) then the equation I showed.
 

Similar threads

Replies
4
Views
2K
  • · Replies 7 ·
Replies
7
Views
3K
  • · Replies 7 ·
Replies
7
Views
2K
  • · Replies 4 ·
Replies
4
Views
2K
Replies
12
Views
2K
  • · Replies 13 ·
Replies
13
Views
2K
  • · Replies 6 ·
Replies
6
Views
3K
Replies
1
Views
2K
  • · Replies 4 ·
Replies
4
Views
2K
  • · Replies 4 ·
Replies
4
Views
2K