Why Are There No Solutions to This Vector Equation Problem?

Click For Summary

Homework Help Overview

The discussion revolves around a vector equation problem involving the intersection of two lines defined by their parametric equations. The participants are exploring the conditions under which solutions exist for the intersection points of these lines, particularly in the context of geometry and vector algebra.

Discussion Character

  • Exploratory, Assumption checking, Mathematical reasoning

Approaches and Questions Raised

  • Participants are examining the parametric representations of the lines and questioning the correctness of the equations provided. There is a focus on the implications of the cross product of normals to the planes defined by the lines and the point of intersection.

Discussion Status

Some participants have offered insights into the parametrization of the lines and the potential for collinearity of the vectors involved. There is an ongoing exploration of the implications of the lines being parallel to the planes, which may affect the existence of solutions. Multiple interpretations of the problem setup are being discussed.

Contextual Notes

Participants note that the original equations may contain inconsistencies, and there is a suggestion to rebase the origin to simplify the problem. The discussion highlights the complexity of the relationships between the lines and the planes they define.

LCSphysicist
Messages
644
Reaction score
163
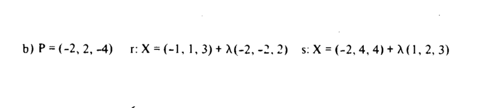
Homework Statement
Get a vector equation of the line that pass by the point P and intersect with the straight line R and S
Relevant Equations
All below.
1593647438949.png


I think that we can say that PPR = α*PRPS
where PR and PS are the points where occurs the intersection on the line R and S.
Obs: line r and s are found by knowing that the straight line intersection of two planes are
n1 X n2 [cross product]

Lr = (0,1,-2) + y(-1,1,1)
Ls = (0,1,-1) + u(1,2,1)

This leave us to three equation and three incognits

1593647649885.png


Three real solution, but the answer is that is impossible, why?
 

Attachments

  • 1593645370730.png
    1593645370730.png
    4 KB · Views: 197
Physics news on Phys.org
I'm not quite sure what you actually want, but I don't think your equation for ##L_r## satisfies your definition for line ##r##.
 
LCSphysicist said:
I think that we can say that PPR = α*PRPS
where PR and PS are the points where occurs the intersection on the line R and S.
I agree
Obs: line r and s are found by knowing that the straight line intersection of two planes are
n1 X n2 [cross product]
I presume you are referring to (1) the plane containing point P and line R and (2) the plane containing point P and line S. Yes it's correct, and a good insight, that the line we seek lies in the intersection of those two planes.
Lr = (0,1,-2) + y(-1,1,1)
Parametrising on y, I get Lr = (-1, 0, -1) + y(-1, 1, -1), which differs from yours in 4 out of 6 places.
Why did you not parametrise on x, which is easier? :
Lr = (0, 1, -2) + x(1, -1, 1)
If we replace your y by x, what you wrote is closer to this, but still differs in two places.
Ls = (0,1,-1) + u(1,2,1)
I agree with this one, and we could replace u by x so as to parametrise in the same way as we did for Lr, to write
Ls = (0,1,-1) + x(1,2,1)
This leave us to three equation and three incognits

View attachment 265641

Three real solution, but the answer is that is impossible, why?
I couldn't quite follow this. I expected to see the equation written as follows:
$$y = a_yx + b_y$$
$$z = a_zx + b_z$$
(assuming the line is not perpendicular to the x axis)

I haven't done the calcs but perhaps if you correct your parametrisations as per above, your solution will match that in the book.
 
  • Like
Likes   Reactions: LCSphysicist
LCSphysicist said:
Obs: line r and s are found by knowing that the straight line intersection of two planes are
n1 X n2 [cross product]
andrewkirk said:
I presume you are referring to (1) the plane containing point P and line R and (2) the plane containing point P and line S.
I interpreted @LCSphysicist's remark as referring to the fact line R (and likewise line S) is given in terms of two planes, z=z(x) and y=y(x). Taking the cross product of their normals gives a vector parallel to their line of intersection.
 
  • Like
Likes   Reactions: etotheipi
LCSphysicist said:
I think that we can say that PPR = α*PRPS

Lr = (0,1,-2)+ y(-1,1,1)
Please explain your PPR, PRPS notation.
Did you mean Lr = (0,1,-2)+ y(1,-1,1)?
Reusing y is confusing. How about u and v as the parameters?

No idea how you got your last trio of equations, but I would rebase the origin to be at P. Then all you need is a point on each of R and S (i.e. u and v values) such that their vector representations are collinear (cross product is zero). Add back in P at the end.

The attachment appears to be a different question.
 
Last edited:
  • Like
Likes   Reactions: etotheipi
Update: my relatively simple method still gave crazy answers. I believe the problem is that the line S is parallel to the plane containing P and R (and likewise mutatis mutandis). So there are no solutions.

Fwiw, here's my method in general:
Normalise so that P is the origin. Represent the points on lines R and S parametrically as ##\vec R+r\vec R'##, etc.
If r and s are the parameters for the points where the sought line intersects them, the vectors for these points are collinear, so have a zero cross product:
##(\vec R+r\vec R')\times(\vec S+s\vec S')=0##
Expanding, and taking the dot product with ##\vec S'## to eliminate references to s:
##r=-\frac{\vec S'.(\vec R\times\vec S)}{\vec S'.(\vec R'\times\vec S)}=-\frac{\vec R.(\vec S'\times\vec S)}{\vec R'.(\vec S'\times\vec S)}##
 
Last edited:

Similar threads

  • · Replies 23 ·
Replies
23
Views
3K
Replies
5
Views
2K
  • · Replies 3 ·
Replies
3
Views
2K
Replies
6
Views
4K
  • · Replies 7 ·
Replies
7
Views
2K
  • · Replies 2 ·
Replies
2
Views
2K
  • · Replies 3 ·
Replies
3
Views
2K
  • · Replies 6 ·
Replies
6
Views
2K
  • · Replies 7 ·
Replies
7
Views
2K
  • · Replies 3 ·
Replies
3
Views
2K