Why do I have to use integration and components?

Click For Summary

Homework Help Overview

The discussion revolves around the application of integration and vector components in calculating the force on a wire in a magnetic field, specifically using the equation F=IL×B. Participants are exploring why a simplified approach may not be sufficient for this problem.

Discussion Character

  • Exploratory, Assumption checking, Conceptual clarification

Approaches and Questions Raised

  • Participants are questioning the necessity of using integration and component separation when calculating the force on the wire. There is a specific inquiry about the validity of using a simplified equation for force when the wire's geometry changes.

Discussion Status

The discussion is actively exploring different interpretations of the problem. Some participants are providing insights into the limitations of the simplified approach, while others are considering the implications of the wire's curvature on the force calculation.

Contextual Notes

Participants reference specific equations and concepts, such as the right-hand rule and the nature of the magnetic force, while also noting the presence of diagrams that are not visible in the text. There is an indication of differing numbers in solutions provided, which may affect the understanding of the problem.

Mariah
Messages
3
Reaction score
0

Homework Statement


in the picture.

Homework Equations


F=ILcrossB
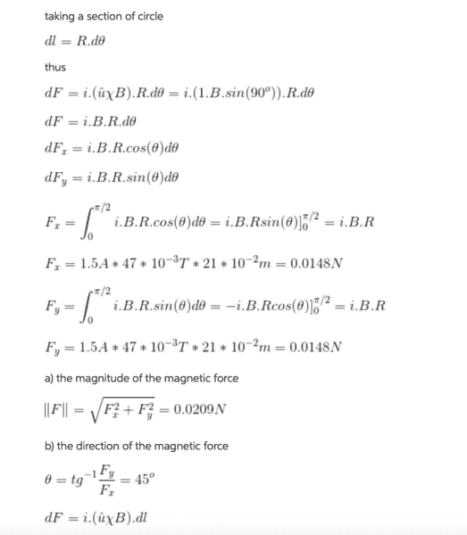
Along with the original question, the other picture contains the solution with different numbers. I was just wondering why when finding the force on the wire instead of making dl= R*dtheta and going through the integration and separating the force into to components. Why isn't it possible to simply solve the equation for F=ILBsin90 with L= 2*pi*r/4?
 

Attachments

  • Screen Shot 2018-04-25 at 4.28.14 PM.png
    Screen Shot 2018-04-25 at 4.28.14 PM.png
    12.5 KB · Views: 568
  • Screen Shot 2018-04-25 at 4.29.18 PM.png
    Screen Shot 2018-04-25 at 4.29.18 PM.png
    14.4 KB · Views: 573
Physics news on Phys.org
Mariah said:
in the picture.
Not really
 
Mariah said:

Homework Statement


in the picture.

Homework Equations


F=ILcrossB
Along with the original question, the other picture contains the solution with different numbers. I was just wondering why when finding the force on the wire instead of making dl= R*dtheta and going through the integration and separating the force into to components. Why isn't it possible to simply solve the equation for F=ILBsin90 with L= 2*pi*r/4?
From what you've learned (using the right-hand rule), what is the direction of the differential force on each small section of the wire?
 
Mariah said:
F=ILcrossB
That equation is only for a straight L.
There are various ways to generalise it. E.g. if we take ##\vec I## and ##\vec B## as functions of position s along a wire then ##\vec F=\int\vec I\times\vec B.ds##. Or we could take current as a scalar I and make the path element the vector: ##\vec F=\int I \vec {ds}\times\vec B##. Same result.
Since the path changes direction, this cannot be reduced to ##IL\times B##.
 

Similar threads

Replies
3
Views
1K
  • · Replies 5 ·
Replies
5
Views
2K
  • · Replies 3 ·
Replies
3
Views
6K
  • · Replies 25 ·
Replies
25
Views
2K
  • · Replies 5 ·
Replies
5
Views
4K
Replies
3
Views
2K
  • · Replies 1 ·
Replies
1
Views
2K
  • · Replies 5 ·
Replies
5
Views
2K
  • · Replies 1 ·
Replies
1
Views
4K
  • · Replies 7 ·
Replies
7
Views
5K