Why is the height of point 2 same as point 3?

Click For Summary
SUMMARY

The discussion centers on the observation that the height of point 2 is the same as point 3 in a turbine setup, attributed to minimal height differences. It is established that for small height variations, alternative turbine types are typically employed. The absence of the "≈" symbol in the context of these height differences raises questions about the precision of the measurements or assumptions made in the analysis.

PREREQUISITES
  • Understanding of turbine mechanics and design principles
  • Familiarity with fluid dynamics concepts
  • Knowledge of measurement accuracy and precision in engineering
  • Basic grasp of mathematical notation and its implications in engineering contexts
NEXT STEPS
  • Research the different types of turbines used for small height differences
  • Study the principles of fluid dynamics relevant to turbine operation
  • Explore measurement techniques for height differences in engineering applications
  • Learn about the significance of mathematical symbols in engineering analysis
USEFUL FOR

Engineering students, mechanical engineers, and professionals involved in turbine design and fluid dynamics analysis.

EastWindBreaks
Messages
128
Reaction score
3

Homework Statement


upload_2017-10-27_4-15-19.png

Homework Equations


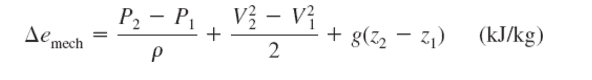
upload_2017-10-27_4-15-40.png


The Attempt at a Solution


Is it an assumption because the difference in height is small?
 

Attachments

  • upload_2017-10-27_4-15-19.png
    upload_2017-10-27_4-15-19.png
    17.8 KB · Views: 794
  • upload_2017-10-27_4-15-40.png
    upload_2017-10-27_4-15-40.png
    2.6 KB · Views: 699
Last edited:
Physics news on Phys.org
With a setup as shown height differences within the turbine are very small.
For smaller height differences, other types of turbines are used.
 
  • Like
Likes   Reactions: EastWindBreaks
I wonder why it didnt use "≈", thank you!
 

Similar threads

  • · Replies 4 ·
Replies
4
Views
3K
  • · Replies 2 ·
Replies
2
Views
2K
Replies
8
Views
5K
  • · Replies 3 ·
Replies
3
Views
3K
  • · Replies 5 ·
Replies
5
Views
2K
Replies
16
Views
6K
  • · Replies 5 ·
Replies
5
Views
2K
  • · Replies 4 ·
Replies
4
Views
4K
  • · Replies 7 ·
Replies
7
Views
3K
  • · Replies 5 ·
Replies
5
Views
3K