Compute the angle θ that will maximize the height of h of the impact point

Click For Summary

Homework Help Overview

The problem involves a projectile launched at an angle θ with an initial velocity, aiming to compute the angle that maximizes the height of the impact point on a vertical wall. The context relates to projectile motion and optimization within physics.

Discussion Character

  • Exploratory, Conceptual clarification, Mathematical reasoning, Assumption checking

Approaches and Questions Raised

  • Participants discuss the relationship between the launch angle θ and the height of the projectile upon impact. There are attempts to express height in terms of θ and questions about the assumptions needed to maximize this height.

Discussion Status

The discussion is ongoing, with various participants exploring the implications of assuming that the vertical component of velocity (vy) is zero at the point of impact. Some guidance has been offered regarding differentiation and the conditions for maximizing height, but there is no explicit consensus on the assumptions or methods being used.

Contextual Notes

There are references to previous posts that may contain relevant information, and some participants express uncertainty about the implications of their calculations and assumptions regarding the launch angle and its effect on vy.

Alexanddros81
Messages
177
Reaction score
4

Homework Statement


A projectile, launched at A with an initial velovity of 24m/s at the angle θ, impacts the vertical wall at B. Compute the angle θ that will maximize the height of h of the impact point. What is this maximum height?

Pytel_Dynamics_12_58a.jpg


Homework Equations

The Attempt at a Solution


I guess I have to assume something but I can't think of what this is.
Also have a look on my previous post which is related:
https://www.physicsforums.com/threa...itial-v-24-m-s-at-angle-th-60-degrees.922032/
from previous post I can compute h in terms of θ. This is one equation with two unknowns.
So do i have to make an assumption on the velocities ?

By the way the previous post was 12.57 and this one is 12.58. If someone can correct the number of previous one mentioned in the title that would be great. thanks
 
Physics news on Phys.org
Alexanddros81 said:
from previous post I can compute h in terms of θ. This is one equation with two unknowns.
So do i have to make an assumption on
And you want to maximize this height by changing θ.
If h is a function of θ, how do you find θ for which h is maximum? Have you studied differentiation?
 
Here is where your hunch that vy = 0 when the projectile hits the wall comes into play. (Why?)
 
Pytel_Dynamics044.jpg


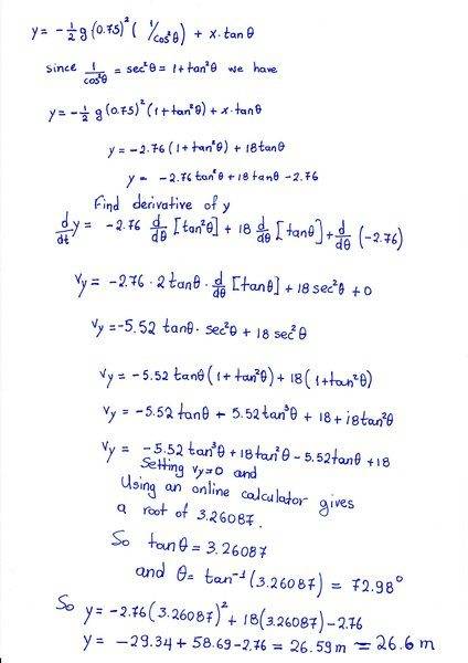
We assume that ##v_y=0## meaning that if there is no speed in the upward direction there is no motion upwards. The ball even if there was no wall could not get any higher for the angle calculated above.
 
Alexanddros81 said:
View attachment 208704

We assume that ##v_y=0## meaning that if there is no speed in the upward direction there is no motion upwards. The ball even if there was no wall could not get any higher for the angle calculated above.
On the LHS, you have taken derivative of y w.r.t. time but on the LHS, you have differentiated w.r.t.θ.
It is dy/dθ=0.

Other than that, your math looks correct to me.
You could have got there faster if you'd directly differentiated sec2θ as 2sec2θtanθ. The sec2θ term can be taken out common and the rest of the LHS can be equated to 0, which directly gives you the value of tanθ.
 
  • Like
Likes   Reactions: TSny
Alexanddros81 said:
View attachment 208704
We assume that ##v_y=0##
Is the assumption ##v_y=0## correct? Note that @cnh1995 's method yields the answer without this assumption. Actually, your solution will match cnh1995's since you did set the derivative of yat wall with respect to the launch angle θ equal to zero. So, you can check if your answer for θ makes ##v_y=0## at the wall.
 
a) I don't quite understant though (or grasp the idea of) what does the derivative of yat wall with respect to the launch angle θ means (or shows)
- also when set to zero.
b) I have substitute in equation ##v_y=-gt+v_0sinθ## the angle θ with 72.98deg and i don't get vy=0
 
Perhaps worth looking at..
https://www.mathsisfun.com/calculus/maxima-minima.html
If you have an arbitrary function then the maxima and minima occur where the slope is zero. So typically you differentiate the function, equate the result to zero and find the solutions.
 
Alexanddros81 said:
a) I don't quite understant though (or grasp the idea of) what does the derivative of yat wall with respect to the launch angle θ means (or shows)
- also when set to zero.
As you change the launch angle, the projectile hits the wall at different heights. yat wall is just notation for the height that the projectile hits the wall. It is a function of the launch angle θ. You want to maximize this function. You found an expression for this function. The value of θ that maximizes yat wall is found by setting dyat wall/dθ = 0 (as you essentially did).

b) I have substitute in equation ##v_y=-gt+v_0sinθ## the angle θ with 72.98deg and i don't get vy=0
Yes. So, this shows that vy is generally not equal to zero at the wall when the projectile hits the wall at maximum height on the wall.
 
  • Like
Likes   Reactions: Alexanddros81

Similar threads

  • · Replies 4 ·
Replies
4
Views
3K
Replies
2
Views
3K
  • · Replies 1 ·
Replies
1
Views
3K
  • · Replies 4 ·
Replies
4
Views
3K
  • · Replies 15 ·
Replies
15
Views
27K
  • · Replies 11 ·
Replies
11
Views
2K
  • · Replies 22 ·
Replies
22
Views
3K
Replies
5
Views
2K
  • · Replies 15 ·
Replies
15
Views
2K
  • · Replies 3 ·
Replies
3
Views
3K