Why the at term on the exponential turned positive

Click For Summary

Homework Help Overview

The discussion revolves around the behavior of an exponential function involving the absolute value of time, specifically why a term in the exponent becomes positive. Participants are exploring the implications of this change and how to approach the integration of the function over different intervals of time.

Discussion Character

  • Exploratory, Assumption checking, Problem interpretation

Approaches and Questions Raised

  • Participants are questioning the transformation of the exponent and its implications for the integration process. There is discussion on how to handle the absolute value of time in the context of integration over negative and positive intervals.

Discussion Status

The conversation includes attempts to clarify the sign change in the exponent and how to properly set up the integral for different ranges of time. Some participants suggest splitting the integral into two parts, while others are still grappling with the underlying concepts.

Contextual Notes

There is an emphasis on understanding the definition of absolute value in relation to negative time, and how this affects the function being integrated. Participants are also considering the graphical representation of the function to aid in their understanding.

Firepanda
Messages
425
Reaction score
0
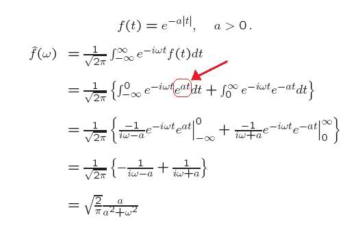
Firstly, I don't get why the at term on the exponential turned positive (red arrow).. can someone explain that please?

291kgae.jpg





And how do I start on this? How do I split it up such that I can do it for t>0 and t=<0?

2li8pef.jpg


Do I just integrate e^2t between -inf and 0 and integrate e^-t between 0 and inf?


Thanks!
 
Physics news on Phys.org
What is |t| when t is negative?
 
dx said:
What is |t| when t is negative?

positive, ah I see now, thanks

still stuck on 2nd though

edit: actually why would that change the sign of the a?
 
Just split the integral into two parts, one on (-∞,0) and the other on (0,∞).
 
edit: actually why would that change the sign of the a?

You should really draw [itex]f(t)=e^{|t|}[/itex]. And then give a function that represents f(t) in the first quadrant and f(t) in the second quadrant.
 
|t| = -t by definition when t is negative.
 

Similar threads

Replies
2
Views
3K
  • · Replies 8 ·
Replies
8
Views
2K
  • · Replies 4 ·
Replies
4
Views
1K
Replies
8
Views
2K
  • · Replies 2 ·
Replies
2
Views
2K
Replies
2
Views
2K
  • · Replies 2 ·
Replies
2
Views
2K
  • · Replies 2 ·
Replies
2
Views
4K
Replies
4
Views
2K
Replies
2
Views
2K