Writing perturbed wave function

Click For Summary
SUMMARY

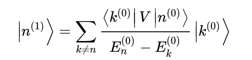
The discussion focuses on writing a perturbed wave function in quantum mechanics, specifically addressing the need for the perturbation parameter ##k^{(0)}## to maintain parity corresponding to the even and odd n-values of the original wave functions, ##sin(n \pi x)## for even n and ##cos(n \pi x)## for odd n. The user seeks clarification on whether ##k^{(0)}## must also adhere to this parity requirement. The conversation emphasizes the importance of using LaTeX for mathematical expressions in forum posts.

PREREQUISITES
  • Understanding of quantum mechanics, specifically wave functions
  • Familiarity with perturbation theory in quantum systems
  • Knowledge of parity in mathematical functions
  • Proficiency in using LaTeX for typesetting equations
NEXT STEPS
  • Research the principles of quantum mechanical perturbation theory
  • Study the properties of even and odd functions in mathematical physics
  • Learn how to effectively use LaTeX for writing equations in online forums
  • Explore examples of perturbed wave functions in quantum mechanics literature
USEFUL FOR

Students and researchers in quantum mechanics, physicists working on wave functions, and anyone interested in the application of perturbation theory in physical systems.

TheBlueDot
Messages
16
Reaction score
2
Hello,

I'm trying to write a wave function for a perturbed system. The original (unperturbed) wave function has two solutions for even and odd n-values, for example ##sin(n \pi x)## for even-n and ##cos(n\pi x)## for odd-n. Then, the perturbed wave function also has an even and odd solutions. My question is does ##k^{(0)}## in the attachment also need to be even or odd according to even and odd n-values?Thanks!
 

Attachments

  • perturbed.PNG
    perturbed.PNG
    3.9 KB · Views: 393
Physics news on Phys.org

Similar threads

  • · Replies 1 ·
Replies
1
Views
1K
  • · Replies 1 ·
Replies
1
Views
1K
  • · Replies 10 ·
Replies
10
Views
2K
  • · Replies 2 ·
Replies
2
Views
2K
  • · Replies 3 ·
Replies
3
Views
2K
  • · Replies 6 ·
Replies
6
Views
2K
  • · Replies 6 ·
Replies
6
Views
2K
Replies
3
Views
3K
  • · Replies 3 ·
Replies
3
Views
1K
  • · Replies 1 ·
Replies
1
Views
2K