A math confusion in deriving the curl of magnetic field from Biot-Savart

Click For Summary
SUMMARY

The discussion centers on the derivation of the curl of the magnetic field using the Biot-Savart law as presented in "Introduction to Electrodynamics, Fourth Edition" by David J. Griffiths. The user questions the validity of the surface integral being zero when the current density J extends to infinity, referencing specific equations on pages 232-233. The confusion arises from the assumption that the surface integral remains zero despite the infinite extension of J, which requires a deeper understanding of vector calculus and electromagnetic theory.

PREREQUISITES
  • Understanding of Biot-Savart law in electromagnetism
  • Familiarity with vector calculus concepts, particularly curl and surface integrals
  • Knowledge of current density and its implications in magnetic fields
  • Basic comprehension of electromagnetic theory as outlined in Griffiths' textbook
NEXT STEPS
  • Study the derivation of the Biot-Savart law in detail
  • Learn about vector calculus operations, specifically curl and divergence
  • Explore advanced topics in electromagnetism, focusing on Maxwell's equations
  • Review examples of surface integrals in electromagnetic contexts
USEFUL FOR

Students of physics, particularly those studying electromagnetism, educators teaching advanced physics concepts, and anyone seeking to clarify the mathematical foundations of magnetic fields and their derivations.

Brian Tsai
Messages
1
Reaction score
1
TL;DR
Why the surface integral is 0 even the J itself extends to infinity (as in the case of an infinite straight wire).
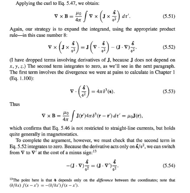
I am recently reading "Introduction to Electrodynamics, Forth Edition, David J. Griffiths " and have a problem with the derive of the curl of a magnetic field from Biot-Savart law. The images of pages (p.232~p233) are in the following:

螢幕擷取畫面 2023-04-03 133932.png

螢幕擷取畫面 2023-04-03 134140.png

The second term in 5.55(page 233) is 0. I had known the reason in case of that the current density declined to 0 on the surface. My question is how to prove the surface integral will also be 0 when J extends to infinite(red block).

P.S. : This is my first time asking a question in English, and I had done my best to decrease the improper use of English. I sincerely hope that anyone who notices my post can answer my confusion and don't be mad at my terrible use in English
 
  • Like
Likes   Reactions: weirdoguy

Similar threads

  • · Replies 5 ·
Replies
5
Views
5K
  • · Replies 3 ·
Replies
3
Views
8K
  • · Replies 30 ·
2
Replies
30
Views
4K
  • · Replies 8 ·
Replies
8
Views
2K
  • · Replies 9 ·
Replies
9
Views
5K
  • · Replies 1 ·
Replies
1
Views
3K
  • · Replies 2 ·
Replies
2
Views
3K
  • · Replies 6 ·
Replies
6
Views
2K
  • · Replies 1 ·
Replies
1
Views
2K
Replies
1
Views
5K